Nocardicin A
Nocardicin A is a monocyclic β-lactam antibiotic included in the monobactam subclass. It is obtained from the fermentation broth of a strain of actinomycetes Nocardia uniformis subsp. tsuyamenensis as a metabolic product catalyzed by the enzyme nocardicin-A epimerase. It is stereochemically and biologically related to penicillin and cephalosporins.

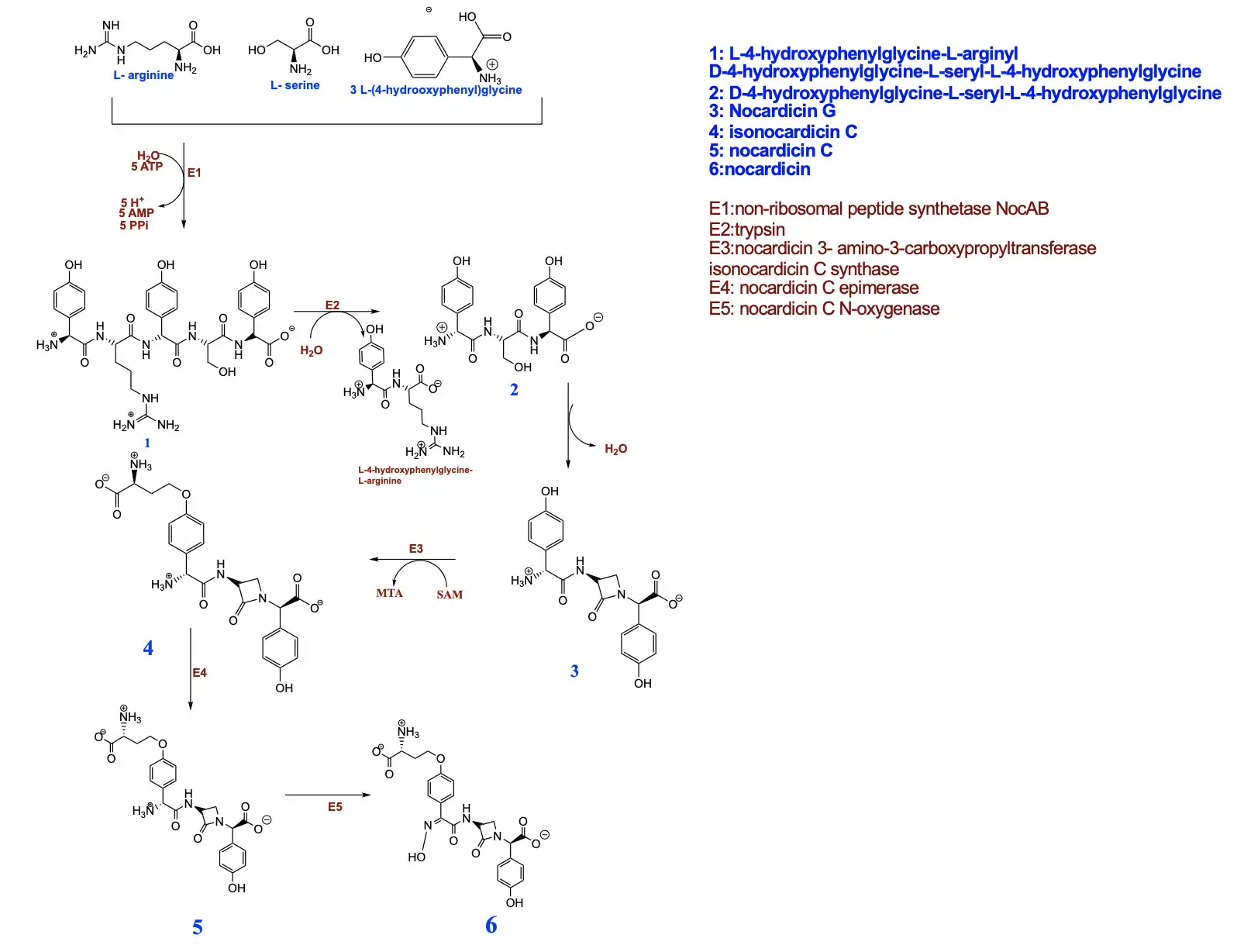
Biosynthesis of Nocardicin A
![]() | |
| Names | |
|---|---|
| IUPAC name
(2R)-2-Amino-4-[4-[N-hydroxy-C-[[(3S)-1- [(1R)-2-hydroxy-1-(4-hydroxyphenyl)-2- oxoethyl]-2-oxoazetidin-3- yl]carbamoyl]carbonimidoyl]phenoxy]butanoic acid | |
| Identifiers | |
3D model (JSmol) |
|
| ChemSpider | |
PubChem CID |
|
| UNII | |
| |
| |
| Properties | |
| C23H24N4O9 | |
| Molar mass | 500.46 g/mol |
Except where otherwise noted, data are given for materials in their standard state (at 25 °C [77 °F], 100 kPa).
Infobox references | |
This article is issued from Wikipedia. The text is licensed under Creative Commons - Attribution - Sharealike. Additional terms may apply for the media files.
