Cefapirin
Cefapirin (INN, also spelled cephapirin) is an injectable, first-generation cephalosporin antibiotic. It is marketed under the trade name Cefadyl. Production for use in humans has been discontinued in the United States.[1]
![]() | |
| Clinical data | |
|---|---|
| AHFS/Drugs.com | International Drug Names |
| MedlinePlus | a601206 |
| Routes of administration | Intravenous, intramuscular |
| ATC code | |
| Legal status | |
| Legal status |
|
| Identifiers | |
| CAS Number | |
| PubChem CID | |
| DrugBank | |
| ChemSpider | |
| UNII | |
| KEGG | |
| ChEBI | |
| ChEMBL | |
| CompTox Dashboard (EPA) | |
| ECHA InfoCard | 100.040.409 |
| Chemical and physical data | |
| Formula | C17H17N3O6S2 |
| Molar mass | 423.46 g·mol−1 |
| 3D model (JSmol) | |
| |
| |
| (verify) | |
It also has a role in veterinary medicine as Metricure, an intrauterine preparation, and combined with prednisolone in Mastiplan, an intramammary preparation. Both are licensed in cattle.
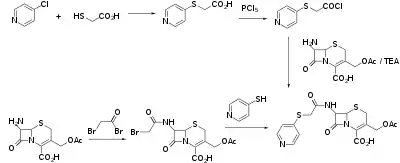
Synthesis

In one of the syntheses, 7-aminocephalosporanic acid (7-ACA) is reacted with bromoacetyl chloride to give the amide. The halo group is then displaced by 4-thiopyridine.[2]
References
- "CEFADYL". U.S. Food and Drug Administration.
- Crast LB, Graham RG, Cheney LC (December 1973). "Synthesis of cephapirin and related cephalosporins from 7-(alpha-bromoacetamido)cephalosporanic acid". Journal of Medicinal Chemistry. 16 (12): 1413–5. doi:10.1021/jm00270a025. PMID 4148798.
This article is issued from Wikipedia. The text is licensed under Creative Commons - Attribution - Sharealike. Additional terms may apply for the media files.
