Longifolene

Longifolene is the common (or trivial) chemical name of a naturally occurring, oily liquid hydrocarbon found primarily in the high-boiling fraction of certain pine resins. The name is derived from that of a pine species from which the compound was isolated,[1] Pinus longifolia (obsolete name for Pinus roxburghii Sarg.)[2]

(+)-Longifolene
Names
IUPAC name
(1R,2S,7S,9S)- 3,3,7-trimethyl- 8-methylenetricyclo- [5.4.0.02,9]undecane
Identifiers
3D model (JSmol)
5731712 2044263 4663756
ChEBI
ChemSpider
ECHA InfoCard 100.006.812
EC Number
  • (+): 207-491-2
UNII
  • InChI=1S/C15H24/c1-10-11-6-7-12-13(11)14(2,3)8-5-9-15(10,12)4/h11-13H,1,5-9H2,2-4H3/t11-,12-,13+,15-/m1/s1 N
    Key: PDSNLYSELAIEBU-GUIRCDHDSA-N N
  • (+): C[C@]12CCCC([C@@H]3[C@H]1CC[C@@H]3C2=C)(C)C
  • (−): C[C@@]12CCCC([C@H]3[C@@H]1CC[C@H]3C2=C)(C)C
Properties
C15H24
Molar mass 204.36 g/mol
Density 0.928 g/cm3
Boiling point 254 °C (489 °F; 527 K) (706 mm Hg)
Hazards
GHS labelling:
Danger
H304, H317, H410
P261, P272, P273, P280, P301+P310, P302+P352, P321, P331, P333+P313, P363, P391, P405, P501
Except where otherwise noted, data are given for materials in their standard state (at 25 °C [77 °F], 100 kPa).
N verify (what is YN ?)
Infobox references

Chemically, longifolene is a tricyclic sesquiterpene. This molecule is chiral, and the enantiomer commonly found in pines and other higher plants exhibits a positive optical rotation of +42.73°. The other enantiomer (optical rotation −42.73°) is found in small amounts in certain fungi and liverworts.

Longifolene is used in organic synthesis for the preparation of dilongifolylborane,[3] a chiral hydroborating agent.

Longifolene is also one of two most abundant aroma constituents of lapsang souchong tea, because the tea is smoked over pinewood fires.[4]

Total syntheses

Due to the compact tricyclic structure and lack of functional groups, Longifolene is an attractive target for research groups highlighting new synthetic methodologies. Notable syntheses are by Corey,[5][6] McMurry,[7] Johnson,[8] Oppolzer,[9] and Schultz.[10] Fallis has published a stereoselective synthesis of (+)-longifolene using an intramolecular Diels-Alder strategy.[11]

Longifolene total synthesis by Corey.svg
Longifolene total synthesis by Corey.svg

The Johnson biosynthesis has since been validated as feasible using modern quantum mechanical computational methods. The subsequent cationic cascade mechanism has been shown to go through a non-classical cation intermediate.[12]

Biosynthesis

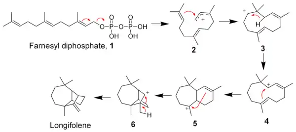
The biosynthesis of longifolene begins with farnesyl diphosphate (1) (also called farnesyl pyrophosphate) by means of a cationic polycyclization cascade. Loss of the pyrophosphate group and cyclization by the distal alkene gives intermediate 3, which by means of a 1,3-hydride shift gives intermediate 4. After two additional cyclizations, intermediate 6 produces longifolene by a 1,2-alkyl migration.

The biosynthesis of Longifolene

Use

The borane derivative dilongifolylborane is used in organic synthesis as a chiral hydroborating agent.[13]

References

  1. Naffa, P.; Ourisson, G. Bulletin de la Société chimique de France, 1954, 1410.
  2. Simonsen, J. L. J. Chem. Soc. 1920, 117, 570.
  3. Jadhav, P. K.; Brown, H. C. J. Org. Chem. 1981, 46, 2988.
  4. Shan-Shan Yao; Wen-Fei Guo; YI Lu; Yuan-Xun Jiang, "Flavor Characteristics of Lapsang Souchong and Smoked Lapsang Souchong,a Special Chinese Black Tea with Pine Smoking Process", Journal of Agricultural and Food Chemistry, Vol. 53, No.22, (2005)
  5. Corey, E. J.; Ohno, Masaji.; Mitra, Rajat B.; Vatakencherry, Paul A. (February 1964). "Total Synthesis of Longifolene". Journal of the American Chemical Society. 86 (3): 478–485. doi:10.1021/ja01057a039.
  6. Corey, E. J.; Ohno, Masaji; Vatakencherry, Paul A.; Mitra, Rajat B. (March 1961). "TOTAL SYNTHESIS OF d,l-LONGIFOLENE". Journal of the American Chemical Society. 83 (5): 1251–1253. doi:10.1021/ja01466a056.
  7. McMurry, John E.; Isser, Stephen J. (October 1972). "Total synthesis of longifolene". Journal of the American Chemical Society. 94 (20): 7132–7137. doi:10.1021/ja00775a044.
  8. Volkmann, Robert A.; Andrews, Glenn C.; Johnson, William S. (August 1975). "Novel synthesis of longifolene". Journal of the American Chemical Society. 97 (16): 4777–4779. doi:10.1021/ja00849a062.
  9. Oppolzer, Wolfgang; Godel, Thierry (April 1978). "A new and efficient total synthesis of (.+-.)-longifolene". Journal of the American Chemical Society. 100 (8): 2583–2584. doi:10.1021/ja00476a071.
  10. Schultz, Arthur G.; Puig, Salvador (March 1985). "The intramolecular diene-carbene cycloaddition equivalence and an enantioselective Birch reduction-alkylation by the chiral auxiliary approach. Total synthesis of (.+-.)- and (−)-longifolene". The Journal of Organic Chemistry. 50 (6): 915–916. doi:10.1021/jo00206a049.
  11. Bo, Lei; Fallis, Alex G. (May 1990). "Direct total synthesis of (+)-longifolene via an intramolecular Diels-Alder strategy". Journal of the American Chemical Society. 112 (11): 4609–4610. doi:10.1021/ja00167a105.
  12. Ho, Gregory J. Org. Chem. 2005, 70, 5139 -5143.
  13. Dev, Sukh (1981). "Aspects of longifolene chemistry. An example of another facet of natural products chemistry". Accounts of Chemical Research. 14 (3): 82–88. doi:10.1021/ar00063a004.
This article is issued from Wikipedia. The text is licensed under Creative Commons - Attribution - Sharealike. Additional terms may apply for the media files.