Hydroperoxide

Hydroperoxides or peroxols are compounds containing the hydroperoxide functional group (ROOH). If the R is organic, the compounds are called organic hydroperoxides. Such compounds are a subset of organic peroxides, which have the formula ROOR. Organic hydroperoxides can either intentionally or unintentionally initiate explosive polymerisation in materials with unsaturated chemical bonds.[1]

The general structure of an organic hydroperoxide with the blue marked functional group

Properties

The O−O bond length in peroxides is about 1.45 Å, and the R−O−O angles (R = H, C) are about 110° (water-like). Characteristically, the C−O−O−H dihedral angles are about 120°. The O−O bond is relatively weak, with a bond dissociation energy of 45–50 kcal/mol (190–210 kJ/mol), less than half the strengths of C−C, C−H, and C−O bonds.[2][3]

Hydroperoxides are typically more volatile than the corresponding alcohols:

Miscellaneous reactions

Hydroperoxides are mildly acidic. The range is indicated by 11.5 for CH3OOH to 13.1 for Ph3COOH.[4]

Hydroperoxides can be reduced to alcohols with lithium aluminium hydride, as described in this idealized equation:

4 ROOH + LiAlH4 → LiAlO2 + 2 H2O + 4 ROH

This reaction is the basis of methods for analysis of organic peroxides.[5] Another way to evaluate the content of peracids and peroxides is the volumetric titration with alkoxides such as sodium ethoxide.[6] The phosphite esters and tertiary phosphines also effect reduction:

ROOH + PR3 → OPR3 + ROH

Uses

Precursors to epoxides

"The single most important synthetic application of alkyl hydroperoxides is without doubt the metal-catalysed epoxidation of alkenes." In the Halcon process tert-butyl hydroperoxide (TBHP) is employed for the production of propylene oxide.[7]

Of specialized interest, chiral epoxides are prepared using hydroperoxides as reagents in the Sharpless epoxidation.[8]

The Sharpless epoxidation

Production of cyclohexanone and caprolactone

Hydroperoxides are intermediates in the production of many organic compounds in industry. For example, the cobalt catalyzed oxidation of cyclohexane to cyclohexanone:[9]

C6H12 + O2 → (CH2)5CO + H2O

Drying oils, as found in many paints and varnishes, function via the formation of hydroperoxides.

Hock processes

Synthesis of cumene hydroperoxide

Compounds with allylic and benzylic C−H bonds are especially susceptible to oxygenation.[10] Such reactivity is exploited industrially on a large scale for the production of phenol by the Cumene process or Hock process for its cumene and cumene hydroperoxide intermediates.[11] Such reactions rely on radical initiators that reacts with oxygen to form an intermediate that abstracts a hydrogen atom from a weak C-H bond. The resulting radical binds O2, to give hydroperoxyl (ROO.), which then continues the cycle of H-atom abstraction.[12]

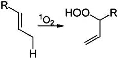
Synthesis of hydroperoxides of alkene and singlet oxygen in an ene reaction

Formation

By autoxidation

The most important (in a commercial sense) peroxides are produced by autoxidation, the direct reaction of O2 with a hydrocarbon. Autoxidation is a radical reaction that begins with the abstraction of an H atom from a relatively weak C-H bond. Important compounds made in this way include tert-butyl hydroperoxide, cumene hydroperoxide and ethylbenzene hydroperoxide:[7]

R-H + O2 → ROOH


Auto-oxidation reaction is also observed with common ethers, such as diethyl ether, diisopropyl ether, tetrahydrofuran, and 1,4-dioxane. An illustrative product is diethyl ether peroxide. Such compounds can result in a serious explosion when distilled.[12] To minimize this problem, commercial samples of THF are often inhibited with butylated hydroxytoluene (BHT). Distillation of THF to dryness is avoided because the explosive peroxides concentrate in the residue.

Although ether hydroperoxide often form adventitiously (i.e. autoxidation), they can be prepared in high yield by the acid-catalyzed addition of hydrogen peroxide to vinyl ethers:[13]

C2H5OCH=CH2 + H2O2 → C2H5OCH(OOH)CH3

From hydrogen peroxide

Many industrial peroxides are produced using hydrogen peroxide. Reactions with aldehydes and ketones yield a series of compounds depending on conditions. Specific reactions include addition of hydrogen peroxide across the C=O double bond:

R2C=O + H2O2 → R2C(OH)OOH

In some cases, these hydroperoxides convert to give cyclic diperoxides:

[R2C(O2H)]2O2 → [R2C]2(O2)2 + 2 H2O

Addition of this initial adduct to a second equivalent of the carbonyl:

R2C=O + R2C(OH)OOH → [R2C(OH)]2O2

Further replacement of alcohol groups:

[R2C(OH)]2O2 + 2 H2O2 → [R2C(O2H)]2O2 + 2 H2O

Triphenylmethanol reacts with hydrogen peroxide gives the unusually stable hydroperoxide, Ph3COOH.[14]

Naturally occurring hydroperoxides

Many hydroperoxides are derived from fatty acids, steroids, and terpenes. The biosynthesis of these species is effected extensively by enzymes.

Illustrative biosynthetic transformation involving a hydroperoxide. Here cis-3-hexenal is generated by conversion of linolenic acid to the hydroperoxide by the action of a lipoxygenase followed by the lyase-induced formation of the hemiacetal.[15]

References

  1. Klenk, Herbert; Götz, Peter H.; Siegmeier, Rainer; Mayr, Wilfried. "Peroxy Compounds, Organic". Ullmann's Encyclopedia of Industrial Chemistry. Weinheim: Wiley-VCH.
  2. Bach, Robert D.; Ayala, Philippe Y.; Schlegel, H. B. (1996). "A Reassessment of the Bond Dissociation Energies of Peroxides. An ab Initio Study". J. Am. Chem. Soc. 118 (50): 12758–12765. doi:10.1021/ja961838i.
  3. Otto Exner (1983). "Stereochemical and conformational aspects of peroxy compounds". In Saul Patai (ed.). PATAI'S Chemistry of Functional Groups. Wiley. pp. 85–96. doi:10.1002/9780470771730.ch2. ISBN 9780470771730.
  4. Klenk, Herbert; Götz, Peter H.; Siegmeier, Rainer; Mayr, Wilfried. "Peroxy Compounds, Organic". Ullmann's Encyclopedia of Industrial Chemistry. Weinheim: Wiley-VCH.
  5. Higuchi, T.; Zuck, Donald Anton (1951). "Behaviors of Several Compounds as Indicators in Lithium Aluminum Hydride Titration of Functional Groups". Journal of the American Chemical Society. 73 (6): 2676. doi:10.1021/ja01150a073.
  6. Martin, A. J. (1957). "Potentiometric titration of hydroperoxide and peracid in Anhydrous Ethylenediamine". Analytical Chemistry. 29: 79–81. doi:10.1021/ac60121a022.
  7. Roger A. Sheldon (1983). Patai, Saul (ed.). Syntheses and Uses of Hydroperoxides and Dialkylperoxides. PATAI'S Chemistry of Functional Groups. John Wiley & Sons. doi:10.1002/9780470771730.ch6.
  8. Hill, J. G.; Sharpless, K. B.; Exon, C. M.; Regenye, R. (1985). "Enantioselective Epoxidation Of Allylic Alcohols: (2s,3s)-3-propyloxiranemethanol". Org. Synth. 63: 66. doi:10.15227/orgsyn.063.0066.{{cite journal}}: CS1 maint: uses authors parameter (link)
  9. Michael T. Musser (2005). "Cyclohexanol and Cyclohexanone". Ullmann's Encyclopedia of Industrial Chemistry. Weinheim: Wiley-VCH. doi:10.1002/14356007.a08_217.{{cite encyclopedia}}: CS1 maint: uses authors parameter (link)
  10. Knight, H. B.; Swern, Daniel (1954). "Tetralin Hydroperoxide". Org. Synth. 34: 90. doi:10.15227/orgsyn.034.0090..
  11. Brückner, R. Reaktionsmechanismen: organische Reaktionen, Stereochemie, moderne Synthesemethoden, pp. 41–42, Spektrum Akademischer Verlag, Munich, 2004, ISBN 3-8274-1579-9 (in German)
  12. Heinz G. O. Becker Organikum, Wiley-VCH, 2001, ISBN 3-527-29985-8 pp. 206–207
  13. Milas, Nicholas A.; Peeler, Robert L.; Mageli, Orville L. (1954). "Organic Peroxides. XIX. α-Hydroperoxyethers and Related Peroxides". Journal of the American Chemical Society. 76 (9): 2322–2325. doi:10.1021/ja01638a012.
  14. Bryant E. Rossiter and Michael O. Frederick "Triphenylmethyl Hydroperoxide" E-EROS Encyclopedia of Reagents for Organic Synthesis, 2013. doi:10.1002/047084289X.rt363m.pub2
  15. Matsui K (2006). "Green leaf volatiles: hydroperoxide lyase pathway of oxylipin metabolism". Current Opinion in Plant Biology. 9 (3): 274–80. doi:10.1016/j.pbi.2006.03.002. PMID 16595187.
This article is issued from Wikipedia. The text is licensed under Creative Commons - Attribution - Sharealike. Additional terms may apply for the media files.