Effects of climate change on agriculture
The effects of climate change on agriculture can result in lower crop yields and nutritional quality due to for example drought, heat waves and flooding as well as increases in pests and plant diseases. The effects are unevenly distributed across the world and are caused by changes in temperature, precipitation and atmospheric carbon dioxide levels due to global climate change.[1] In 2019, millions already suffer from food insecurity due to climate change and predicted decline in global crop production of 2% - 6% by decade.[2] It has been predicted in 2019 that food prices will rise by 80% by 2050 which will likely lead to food insecurity, disproportionally affecting poorer communities.[3][4] A 2021 study estimates that the severity of heatwave and drought impacts on crop production tripled over the last 50 years in Europe – from losses of 2.2% during 1964–1990 to losses of 7.3% in 1991–2015.[5][6]

Direct impacts from changing weather patterns are caused by rising temperatures, heat waves and changes in rainfall (including droughts and floods). There are also direct impacts from increased atmospheric CO2 levels: Higher crop yields due to CO2 fertilisation but also reduced nutritional value of crops (lower levels of micronutrients). There will be climate driven changes in pests, plant diseases and weeds which can result in lower yields as well. Other indirect impacts from changed conditions include agricultural land loss from sea level rise and, on the other hand, more arable land due to less frozen land. There will also be less irrigation water availability due to melting glaciers. There will also be impacts on erosion and soil fertility, effects on growing periods, food safety and losses (caused by fungi, leading to mycotoxins, and bacteria, like Salmonella, that increase with climate warming) and additional financial burdens.
A range of measures for climate change adaptation may reduce the risk of negative climate change impacts on agriculture (changes in management practices, agricultural innovation, institutional changes, climate-smart agriculture).[1]: 513 [7]
According to the IPCC Sixth Assessment Report: "Climate change impacts are stressing agriculture, forestry, fisheries, and aquaculture, increasingly hindering efforts to meet human needs."[8]: 5–4
Direct impacts from changing weather patterns
Rising temperatures
As the temperature and weather patterns change, areas suitable for farming will alter.[9][10] The current prediction is for temperature increase and precipitation decrease for major arid and semi-arid regions (Middle East, Africa, Australia, Southwest United States, and Southern Europe).[9][11] In addition, crop yields in tropical regions will be negatively affected by the projected moderate increase in temperature (1-2 °C) expected to occur during the first half of the century.[12] During the second half of the century, further warming is projected to decrease crop yields in all regions including Canada and the Northern United States.[11] Many staple crops are extremely sensitive to heat and when temperatures rise over 36 °C, soybean seedlings are killed and corn pollen loses its vitality.[13][14]
Higher winter temperatures and more frost-free days in some regions would result in a longer growing season there.[15][16] For example, a 2014 study found that maize yields in the Heilongjiang region of China had increased by between 7 and 17% per decade as a result of rising temperatures.[17]
Heat waves
In the summer of 2018, heat waves probably linked to climate change greatly reduced average yield in many parts of the world, especially Europe. Depending on conditions during August, more crop failures could rise global food prices.[18] Losses are comparable to those of 1945, the worst harvest in memory. 2018 was the third time in four years that global wheat, rice and maize production failed to meet demand, forcing governments and food companies to release stocks from storage.
Heat stress of livestock
Heat stress on livestock has effects on not only animal growth and reproduction, but their feed intake and the production of dairy and meat. When higher than usual temperatures hit, the livestock struggle to keep up their metabolism, resulting in decreased food intake, lowered activity rate, and a drop in weight. This causes a decline in livestock productivity. The location and species of the livestock varies and therefore the effects of heat vary between them.
Changes in rainfall (including droughts and floods)

Droughts and floods contribute to decreases crop yields due to climate change, extreme weather events become more common.[16][19] In extreme cases, floods destroy crops, disrupt agricultural activities and render workers jobless and eliminate food supply. Droughts can also wipe out crops. Drought in developing countries exacerbates pre-existing poverty and fosters famine and malnutrition.[20][13]
Irrigation of crops is able to reduce or even remove the impacts on yields of lower rainfall and higher temperatures - through localised cooling. However, using water resources for irrigation has downsides and is expensive.[9] Also, the water must come from somewhere and if the area has been in a drought for a long time, the rivers may be dry and the irrigation water would have to be transported from further distances.
Droughts have been occurring more frequently because of global warming and they are expected to become more frequent and intense in Africa, southern Europe, the Middle East, most of the Americas, Australia, and Southeast Asia.[21] Their impacts are aggravated because of increased water demand, population growth, urban expansion in many areas.[22] Droughts result in crop failures and the loss of pasture grazing land for livestock.[23] Some farmers may choose to permanently stop farming a drought-affected area and go elsewhere.[24]
At the beginning of the 21st century, floods probably linked to climate change shortened the planting season in the Midwest region in United States, causing damage to the agriculture sector. In May 2019 the floods reduced the projected corn yield from 15 billion bushels to 14.2.[25]
Changes in hail size
In North United States, fewer hail days will occur overall due to climate change, but storms with larger hail might become more common (including hail that is larger than 1.6-inch).[26][27] Hail that is larger than 1.6-inch can quite easily break (glass) greenhouses.[28]
Direct impacts from increased atmospheric CO2 levels
Higher crop, grass and forestry yields due to CO2 fertilisation
Elevated atmospheric carbon dioxide affects plants in a variety of ways. Elevated CO2 increases crop yields and growth through an increase in photosynthetic rate, and it also decreases water loss as a result of stomatal closing.[29]
The CO2 fertilization effect or carbon fertilization effect causes an increased rate of photosynthesis while limiting leaf transpiration in plants. Both processes result from increased levels of atmospheric carbon dioxide (CO2).[30][31] Earth System Models (ESMs), Land System Models (LSMs), and Dynamic Global Vegetation Models (DGVMs) are used to investigate and interpret vegetation trends related to increasing levels of atmospheric CO2.[32][33] However, the ecosystem processes associated with the CO2 fertilization effect remain uncertain and therefore are challenging to model.[34]
The carbon fertilization effect varies depending on plant species, air and soil temperature, and availability of water and nutrients.[32][35] Net primary productivity (NPP) might positively respond to the carbon fertilization effect.[36] Although, evidence shows that enhanced rates of photosynthesis in plants due to CO2 fertilization do not directly enhance all plant growth, and thus carbon storage.[32]Reduced nutritional value of crops
Changes in atmospheric carbon dioxide may reduce the nutritional quality of some crops, with for instance wheat having less protein and less of some minerals.[3]: 439 [37] Food crops could see a reduction of protein, iron and zinc content in common food crops of 3 to 17%.[38] This is the projected result of food grown under the expected atmospheric carbon-dioxide levels of 2050. Using data from the UN Food and Agriculture Organization as well as other public sources, the authors analyzed 225 different staple foods, such as wheat, rice, maize, vegetables, roots and fruits.[39] The effect of projected for this century levels of atmospheric carbon dioxide on the nutritional quality of plants is not limited only to the above-mentioned crop categories and nutrients. A 2014 meta-analysis has shown that crops and wild plants exposed to elevated carbon dioxide levels at various latitudes have lower density of several minerals such as magnesium, iron, zinc, and potassium.[40]
Studies using Free-Air Concentration Enrichment have also shown that increases in CO2 lead to decreased concentrations of micronutrients in crop and non-crop plants with negative consequences for human nutrition,[41][40] including decreased B vitamins in rice.[42][43] This may have knock-on effects on other parts of ecosystems as herbivores will need to eat more food to gain the same amount of protein.[44]
Climate change induced drought stress in Africa will likely lead to a reduction in the nutritional quality of the common bean.[45] This would primarily impact on populations in poorer countries less able to compensate by eating more food, more varied diets, or possibly taking supplements.
Climate driven changes in pests, plant diseases and weeds (indirect impacts)
Global warming will alter pest, plant disease and weed distributions, with potential to reduce crop yields, including of staple crops like wheat, soybeans, and corn.[46]
Pest insects
Currently, pathogens take 10-16% of the global harvest and this level is likely to rise as plants are at an ever-increasing risk of exposure to pests and pathogens.[47] Warmer temperatures can increase the metabolic rate and number of breeding cycles of insect populations.[46] Insects that previously had only two breeding cycles per year could gain an additional cycle if warm growing seasons extend, causing a population boom. Temperate places and higher latitudes are more likely to experience a dramatic change in insect populations.[48] Some insect species will breed more rapidly because they are better able to take advantage of such changes in conditions.[49]

Studies have shown that when CO2 levels rise, soybean leaves are less nutritious; therefore plant-eating beetles have to eat more to get their required nutrients.[13] In addition, soybeans are less capable of defending themselves against the predatory insects under high CO2. The CO2 diminishes the plant's jasmonic acid production, an insect-killing poison that is excreted when the plant senses it's being attacked. Without this protection, beetles are able to eat the soybean leaves freely, resulting in a lower crop yield.[13] This is not a problem unique to soybeans, and many plant species’ defense mechanisms are impaired in a high CO2 environment.[47]
Historically, cold temperatures at night and in the winter months would kill off insects, bacteria and fungi. The warmer, wetter winters are promoting fungal plant diseases like wheat rusts (stripe and brown/leaf) and soybean rust to travel northward.[50] Soybean rust is a vicious plant pathogen that can kill off entire fields in a matter of days, devastating farmers and costing billions in agricultural losses. Another example is the Mountain Pine Beetle epidemic in British Columbia, Canada which killed millions of pine trees because the winters were not cold enough to slow or kill the growing beetle larvae.[13]
The increasing incidence of flooding and heavy rains also promotes the growth of various other plant pests and diseases.[51] On the opposite end of the spectrum, drought conditions favour different kinds of pests like aphids, whiteflies and locusts.[13]
Locusts
When climate change leads to hotter weather, coupled with wetter conditions, this can result in more damaging locust swarms.[52] This occurred for example in some East African nations in the beginning of 2020.[52]
Fall armyworms
The fall armyworm, Spodoptera frugiperda, is a highly invasive plant pest that has in the recent years spread to countries in Sub-Saharan African. The spread of this plant pest is linked to climate change as experts confirm that climate change is bringing more crop pests to Africa and it is expected that these highly invasive crop pests will spread to other parts of the planet since they have a high capacity to adapt to different environments. The fall armyworm can have massive damage to crops, especially maize, which affects agricultural productivity.[53]
Mountain Pine Beetle
Weeds, invasive species and plant pathogens
.jpg.webp)
Weeds undergo the same acceleration of cycles as cultivated crops, and would also benefit from CO2 fertilization. Since most weeds are C3 plants, they are likely to compete even more than now against C4 crops such as corn. However, weedkillers may increase in effectiveness with the temperature increase.[54]
Global warming would cause an increase in rainfall in some areas, which would lead to an increase of atmospheric humidity and the duration of the wet seasons. Combined with higher temperatures, these could favour the development of fungal diseases.[50] Similarly, because of higher temperatures and humidity, there could be an increased pressure from insects and disease vectors.[50] Climate change has the capability of altering pathogen and host interactions, specifically the rates of pathogen infection and the resistance of the host plant.[55] Also impacted by plant disease are the economic costs associated with growing different plants that might yield less profit as well as treating and managing already diseased crops.[56]
Research has shown that climate change may alter the developmental stages of plant pathogens that can affect crops.[57] Change in weather patterns and temperature due to climate change leads to dispersal of plant pathogens as hosts migrate to areas with more favourable conditions. This increases crop losses due to diseases.[57][50]
A changing climate may favour the more biologically diverse weeds over the monocrops most farms consist of.[51] Characteristics of weeds such as their genetic diversity, cross-breeding ability, and fast-growth rates put them at an advantage in changing climates as these characteristics allow them to adapt readily in comparison to most farm's uniform crops, and give them a biological advantage.[13]
With the increased CO2 levels, herbicides will lose their efficiency which in turn increases the tolerance of weeds to herbicides.[51]
Technological solutions to pests and weeds
There are a few proposed solutions to the issue of expanding pest populations (pest control). One proposed solution is to increase the number of pesticides used on crops.[58] This has the benefit of being relatively cost effective and simple, but may be ineffective. Many pest insects have been building up a pesticide resistance. Another proposed solution is to utilize biological control agents.[58] This includes things like planting rows of native vegetation in between rows of crops. This solution is beneficial in its overall environmental impact. Not only are more native plants getting planted, but pest insects are no longer building up an immunity to pesticides. However, planting additional native plants requires more room.
Other indirect impacts from changed conditions
Food security, undernutrition and food prices
It is difficult to project the impact of climate change on utilization (protecting food against spoilage, being healthy enough to absorb nutrients, etc.) and on volatility of food prices. Most models projecting the future do indicate that prices will become more volatile.[59] In 2019 the IPCC stated that millions already suffer from food insecurity due to climate change.[2] As of 2019, an estimated 831 million people are undernourished.[3]: 439 Climate change impacts depend strongly on projected future social and economic development.
A study in 2019 showed that climate change has already increased the risk of food insecurity in many food insecure countries.[60]
The IPCC Sixth Assessment Report in 2022 found that: "Climate change will increase loss of years of full health by 10% in 2050 under RCP8.5 due to undernutrition and micronutrient deficiencies (medium evidence, high agreement)."[8]: 5–5
Increasing food prices
According to IPCC's Special Report on Climate Change and Land, food prices will rise by 80% by 2050 which will likely lead to food shortages. Food shortages will affect poorer parts of the world far more than richer ones.[61][4]
Under a high emission scenario (RCP6.0), cereals are projected to become 1–29% more expensive in 2050 depending on the socioeconomic pathway, particularly affecting low-income consumers.[3]: 439 Compared to a no climate change scenario, this would put between 1–181 million extra people at risk of hunger.[62]
Higher food production costs
With more costs to the farmer, some will no longer find it financially feasible to farm. Agriculture employs the majority of the population in most low-income countries and increased costs can result in worker layoffs or pay cuts.[20] Other farmers will respond by raising their food prices; a cost which is directly passed on to the consumer and impacts the affordability of food. Some farms do not sell their produce but instead feed a family or community; without that food, people will not have enough to eat. This results in decreased production, increased food prices, and potential starvation in parts of the world.[63]
Agricultural land loss from sea level rise
A rise in the sea level would result in an agricultural land loss, in particular in areas such as South East Asia.[64] Erosion, submergence of shorelines, salinity of the water table due to the increased sea levels, could mainly affect agriculture through inundation of low-lying lands.
Low-lying areas such as Bangladesh, India and Vietnam will experience major loss of rice crop if sea levels rise as expected by the end of the century. Vietnam for example relies heavily on its southern tip, where the Mekong Delta lies, for rice planting. A one metre rise in sea level will cover several square kilometres of rice paddies in Vietnam.[65]
More arable land due to less frozen land
Climate change may increase the amount of arable land by reducing the amount of frozen land. A 2005 study reports that temperature in Siberia has increased three-degree Celsius in average since 1960 (much more than the rest of the world).[66] However, reports about the impact of global warming on Russian agriculture[67] indicate conflicting probable effects: while they expect a northward extension of farmable lands,[68] they also warn of possible productivity losses and increased risk of drought.[69]
The Arctic region is expected to benefit from increased opportunities for agriculture and forestry.[70]
Less irrigation water availability due to melting glaciers
Some regions are heavily dependent on water runoff from glaciers that melt during the warmer summer months. Therefore, a continuation of the currently observed retreat of glaciers will eventually deplete the glacial ice and reduce or eliminate runoff.[71] A reduction in runoff will affect the ability to irrigate crops and will reduce summer stream flows necessary to keep dams and reservoirs replenished.
In Asia, global warming of 1.5 °C will reduce the ice mass of Asia's high mountains by about 29-43%,[72] with impacts communities that are dependent on glacier- and snow-melt waters for their livelihoods. In the Indus River watershed, these mountain water resources contribute to up to 60% of irrigation outside of the monsoon season, and an additional 11% of total crop production.[73] Approximately 2.4 billion people live in the drainage basin of the Himalayan rivers.[74] In India alone, the river Ganges provides water for drinking and farming for more than 500 million people.[75][76]
Erosion and soil fertility
The warmer atmospheric temperatures observed over the past decades are expected to lead to a more vigorous hydrological cycle, including more extreme rainfall events. Erosion and soil degradation is more likely to occur. Soil fertility would also be affected by global warming. Increased erosion in agricultural landscapes from anthropogenic factors can occur with losses of up to 22% of soil carbon in 50 years.[77]
Climate change will also cause soils to warm. In turn, this could cause the soil microbe population size to dramatically increase 40–150%. Warmer conditions would favor growth of certain bacteria species, shifting the bacterial community composition. Elevated carbon dioxide would increase the growth rates of plants and soil microbes, slowing the soil carbon cycle and favoring oligotrophs, which are slower-growing and more resource efficient than copiotrophs.[78]
Early blooms and effects on growing periods

As a result of global warming, flowering times have come earlier, and early blooms can threaten the plants survival and reproduction. Early flowering increases the risk of frost damage in some plant species and lead to ‘mismatches’ between plant flowering and pollinators interaction. "Around 70% of the world's most produced crop species rely to some extent on insect pollination, contributing an estimated €153 billion to the global economy and accounting for approximately 9% of agricultural production".[79] In addition, warmer temperatures in winter trigger many flowering plants to blossom, because plants need stimulation to flower, which is normally a long winter chill. And if a plant doesn't flower it can't reproduce. "But if winters keep getting milder, plants may not get cold enough to realize the difference when warmer springtime temperatures start".[80]
Duration of crop growth cycles are above all, related to temperature. An increase in temperature will speed up development.[81] In the case of an annual crop, the duration between sowing and harvesting will shorten (for example, the duration in order to harvest corn could shorten between one and four weeks). The shortening of such a cycle could have an adverse effect on productivity because senescence would occur sooner.[82]
Changes in crop phenology provide important evidence of the response to recent regional climate change.[83] Phenology is the study of natural phenomena that recur periodically, and how these phenomena relate to climate and seasonal changes.[84] A significant advance in phenology has been observed for agriculture and forestry in large parts of the Northern Hemisphere.[85]
Food safety and losses
It is expected that there will be more food safety issues and losses caused by fungi, leading to mycotoxins, and bacteria, like Salmonella, that increase with climate warming.
Impacts of surface level ozone on crops
Surface ozone is an air pollutant and a strong oxidant that reduces physiological functions, yield and quality of crops.[8]: 5–26 It has increased substantially since the late 19th century. This is due to methane emissions which increase temperatures as a greenhouse gas and also increase surface ozone concentrations as a precursor..[8]: 5–14
Financial burden
Many of the projected climate scenarios suggest a huge financial burden. For example, the heat wave that passed through Europe in 2003 cost 13 billion euros in uninsured agriculture losses.[12] In addition, during El Nino weather conditions, the chance of the Australian farmer's income falling below average increased by 75%, greatly impacting the country's GDP.[12] The agriculture industry in India makes up 52% of their employment and the Canadian Prairies supply 51% of Canadian agriculture; any changes in the production of food crops from these areas could have profound effects on the economy.[15][10] This could negatively affect the affordability of food and the subsequent health of the population.
Global aggregate estimates for crop yields
Climate change induced by increasing greenhouse gases is likely to affect crops differently from region to region. The Intergovernmental Panel on Climate Change (IPCC) has produced several reports that have assessed the scientific literature on climate change. In 2019 the IPCC stated that millions already suffer from food insecurity due to climate change and predicted decline in global crop production of 2% - 6% by decade.[2] A 2021 study estimates that the severity of heatwave and drought impacts on crop production tripled over the last 50 years in Europe – from losses of 2.2% during 1964–1990 to losses of 7.3% in 1991–2015.[5][6]
As of 2019, negative impacts have been observed for some crops in low-latitudes (maize and wheat), while positive impacts of climate change have been observed in some crops in high-latitudes (maize, wheat, and sugar beets).[86]: 8 Using different methods to project future crop yields, a consistent picture emerges of global decreases in yield. Maize and soybean decrease with any warming, whereas rice and wheat production might peak at 3 °C of warming.[3]: 453
A study in 2019 tracked ~20,000 political units globally for 10 crops (maize, rice, wheat, soybean, barley, cassava, oil palm, rapeseed, sorghum and sugarcane), providing more detail on the spatial resolution and a larger number of crops than previously studied.[60] It found that crop yields across Europe, Sub-Saharan Africa and Australia had in general decreased because of climate change (compared to the baseline value of 2004–2008 average data), though exceptions are present. The impact of global climate change on yields of different crops from climate trends ranged from -13.4% (oil palm) to 3.5% (soybean). The study also showed that impacts are generally positive in Latin America. Impacts in Asia and Northern and Central America are mixed.[60]
Earlier predictions (prior to 2014)
.png.webp)
.png.webp)
The IPCC Third Assessment Report, published in 2001, concluded that the poorest countries would be hardest hit, with reductions in crop yields in most tropical and sub-tropical regions due to decreased water availability, and new or changed insect pest incidence. In Africa and Latin America many rainfed crops are near their maximum temperature tolerance, so that yields are likely to fall sharply for even small climate changes; falls in agricultural productivity of up to 30% over the 21st century are projected. Marine life and the fishing industry will also be severely affected in some places.
As part of the IPCC's Fourth Assessment Report in 2007, the potential future effects of climate change on agriculture were assessed.[88] IPCC had projected in 2007 that over the first few decades of this century, moderate climate change would increase aggregate yields of rain-fed agriculture by 5–20%, but with important variability among regions.[89]: 14–15 Projections in the same report had suggested that there could be large decreases in hunger globally by 2080, compared to the (then-current) 2006 level.[90][91] Reductions in hunger were driven by projected social and economic development. Projections also suggested regional changes in the global distribution of hunger.[90] By 2080, sub-Saharan Africa may overtake Asia as the world's most food-insecure region. This is mainly due to projected social and economic changes, rather than climate change.[91]
Major challenges were projected for crops that are near the warm end of their suitable range or which depend on highly utilized water resources. With low to medium confidence, they concluded that for about a 1 to 3 °C global mean temperature increase (by 2100, relative to the 1990–2000 average level) there would be productivity decreases for some cereals in low latitudes, and productivity increases in high latitudes. In the report, "low confidence" means that a particular finding has about a 2 out of 10 chance of being correct, based on expert judgement. "Medium confidence" has about a 5 out of 10 chance of being correct.[92] Over the same time period, with medium confidence, global production potential was projected to increase up to around 3 °C, and very likely decrease above about 3 °C.[88]
In the IPCC Fifth Assessment Report in 2014, future climate changes were predicted to most likely affect crop production in low latitude countries negatively, while effects in northern latitudes may be positive or negative.[1]
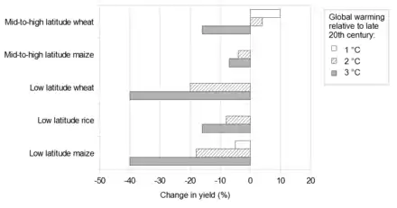
The US National Research Council (US NRC, 2011)[93] assessed the literature on the effects of climate change on crop yields. US NRC (2011)[94] stressed the uncertainties in their projections of changes in crop yields. A meta-analysis in 2014 revealed consensus that yield is expected to decrease in the second half of the century, and with greater effect in tropical than temperate regions.[95] Their central estimates of changes in crop yields are shown below. Actual changes in yields may be above or below these central estimates.[94] US NRC (2011)[93] also provided an estimated the "likely" range of changes in yields. "Likely" means a greater than 67% chance of being correct, based on expert judgement. The likely ranges are summarized in the image descriptions of the two graphs.
![]() Projected changes in crop yields at different latitudes with global warming (2013). This graph is based on several studies.[93] |
![]() Projected changes in yields of selected crops with global warming (2013). This graph is based on several studies.[93] |
Three scenarios without climate change (SRES A1, B1, B2) projected 100-130 million people undernourished by the year 2080, while another scenario without climate change (SRES A2) projected 770 million undernourished. Based on an expert assessment of all of the evidence, these projections were thought to have about a 5-in-10 chance of being correct.[92] The same set of greenhouse gas and socio-economic scenarios were also used in projections that included the effects of climate change.[90] Including climate change, three scenarios (SRES A1, B1, B2) projected 100-380 million undernourished by the year 2080, while another scenario with climate change (SRES A2) projected 740–1,300 million undernourished. These projections were thought to have between a 2-in-10 and 5-in-10 chance of being correct.[92]
Impacts on forests and forestry
The IPCC Sixth Assessment Report report in 2022 found that: "In the past years, tree mortality continued to increase in many parts of the world. Large pulses of tree mortality were consistently linked to warmer and drier than average conditions for forests throughout the temperate and boreal biomes. Long-term monitoring of tropical forests indicates that climate change as begun to increase tree mortality and alter regeneration. Climate related dieback has also been observed due to novel interactions between the life cycles of trees and pest species".[8]: 5–54
Adaptation
Changes in management practices
Adaptation in agriculture is often not policy driven, but farmers make their own decisions in response to the situation they face. Changes in management practices might be the most important adaptation option.Changes in locations of agriculture and international trade in food commodities might also contribute to adaptation efforts.
Agricultural innovation
Agricultural innovation is essential to addressing the potential issues of climate change. This includes better management of soil, water-saving technology, matching crops to environments, introducing different crop varieties, crop rotations, appropriate fertilization use, and supporting community-based adaptation strategies.[63][10][96] On a government and global level, research and investments into agricultural productivity and infrastructure must be done to get a better picture of the issues involved and the best methods to address them. Government policies and programs must provide environmentally sensitive government subsidies, educational campaigns and economic incentives as well as funds, insurance and safety nets for vulnerable populations.[97][63][47] In addition, providing early warning systems, and accurate weather forecasts to poor or remote areas will allow for better preparation.[63]
Institutional changes
A mere focus on agricultural technology will not be sufficient. Work is underway to enable and fund institutional change, and to develop dynamic policies for long-term climate change adaptation in agriculture.[98]
A 2013 study by the International Crops Research Institute for the Semi-Arid Tropics aimed to find science-based, pro-poor approaches and techniques that would enable Asia's agricultural systems to cope with climate change, while benefiting poor and vulnerable farmers. The study's recommendations ranged from improving the use of climate information in local planning and strengthening weather-based agro-advisory services, to stimulating diversification of rural household incomes and providing incentives to farmers to adopt natural resource conservation measures to enhance forest cover, replenish groundwater and use renewable energy.[99]
.jpg.webp)
Climate-smart agriculture
Climate-smart agriculture (CSA) (or climate resilient agriculture) is an integrated approach to managing landscapes to help adapt agricultural methods, livestock and crops to the effects of climate change and, where possible, counteract it by reducing greenhouse gas emissions, at the same time taking into account the growing world population to ensure food security.[100] Thus, the emphasis is not simply on sustainable agriculture, but also on increasing agricultural productivity. "CSA ... is in line with FAO’s vision for Sustainable Food and Agriculture and supports FAO’s goal to make agriculture, forestry and fisheries more productive and more sustainable".[101][102]
CSA has three pillars: increasing agricultural productivity and incomes; adapting and building resilience to climate change; and reducing and/or removing greenhouse gas emissions from agriculture. CSA lists different actions to counter the future challenges for crops and plants. With respect to rising temperatures and heat stress, e.g. CSA recommends the production of heat tolerant crop varieties, mulching, water management, shade house, boundary trees and appropriate housing and spacing for cattle.[103] There are attempts to mainstream CSA into core government policies, expenditures and planning frameworks. In order for CSA policies to be effective, they must be able to contribute to broader economic growth, the sustainable development goals and poverty reduction. They must also be integrated with disaster risk management strategies, actions, and social safety net programmes.[104]Adapting potato production
Adaptation of potato farming practices and potato varieties to changing conditions caused by climate change could help maintain crop yields and allow potato to be grown in areas with predicted conditions unsuited to current commercial potato cultivars. Methods to adapt potatoes to climate change include shifting production areas, improving water use and breeding new tolerant potato varieties.
Potato yields are predicted to decrease in some areas (e.g. Sub-Saharan Africa[105]) while increasing in others (e.g. northern Russia[106]), mostly due to changes in water and temperature regimes. At the same time potato production is predicted to become possible in high altitude and latitude areas where it would previously have been limited by frost damage. These changes in crop yields are predicted to cause shifts in the areas in which potato crops can be viably produced.[106] In some countries reductions in yields caused by increased temperatures and decreased water availability could be avoided to a high degree by shifting potato production areas.[106] A potential problem in shifting potato production is competition for land between potato crops and other crops and other land uses.
Two main approaches are taken to create new potato varieties: ‘traditional’ plant breeding techniques and genetic modification. These techniques may play an important role in creating new cultivars able to maintain yields under stressors induced by climate change.[107]
Traits that may be helpful in reducing negative impacts of climate on potato production include:
- Heat stress tolerance, in particular the ability to maintain tuber growth and initiation under high temperatures. Developing cultivars with greater heat stress tolerance is critical for maintaining yields in countries with potato production areas near current cultivars’ maximum temperature limits (e.g. Sub-Saharan Africa, India).[108]
- Drought tolerance. This includes better water use efficiency (amount of food produced per amount of water used) as well as potatoes that can be exposed to short drought periods and recover and produce acceptable yields. Deeper root systems could also be beneficial, as most commercial potato cultivars need frequent irrigation due to their shallow roots.[109]
- Fast growth/early maturation. Potatoes that grow faster could help adjust to shorter growing seasons in some areas[110] and also reduce the number of life cycles pests such as potato tuber moth can complete in a single growing season.
- Disease resistance. Potatoes with resistances to local pests and diseases could be helpful, especially in adapting to diseases spreading into new areas.
Adapting wine production
Systems have been developed to manipulate the temperatures of vines. These include a chamber free system where air can be heated or cooled and then blown across grape bunches to get a 10 degree Celsius differential.[111] Mini chambers combined with shade cloth and reflective foils have also been used to manipulate the temperature and irradiance.[112] Using polyethylene sleeves to cover cordons and canes were also found to increase maximum temperature by 5-8 degrees Celsius and decrease minimum temperature by 1-2 degrees Celsius.[113]
Crop examples
Rice
Grapevines (wine production)
Grapevines (Vitis vinifera) are very responsive to their surrounding environment with a seasonal variation in yield of 32.5%.[118] Climate is one of the key controlling factors in grape and wine production,[119] affecting the suitability of certain grape varieties to a particular region as well as the type and quality of the wine produced.[120][121] Wine composition is largely dependent on the mesoclimate and the microclimate and this means that for high quality wines to be produced, a climate-soil-variety equilibrium has to be maintained. The interaction between climate-soil-variety will in some cases come under threat from the effects of climate change. Identification of genes underlying phenological variation in grape may help to maintain consistent yield of particular varieties in future climatic conditions.[122]
Of all environmental factors, temperature seems to have the most profound effect on viticulture as the temperature during the winter dormancy effects the budding for the following growing season.[123] Prolonged high temperature can have a negative impact on the quality of the grapes as well as the wine as it affects the development of grape components that give colour, aroma, accumulation of sugar, the loss of acids through respiration as well as the presence of other flavour compounds that give grapes their distinctive traits. Sustained intermediate temperatures and minimal day-to-day variability during the growth and ripening periods are favourable. Grapevine annual growth cycles begin in spring with bud break initiated by consistent day time temperatures of 10 degrees Celsius.[124] The unpredictable nature of climate change may also bring occurrences of frosts which may occur outside of the usual winter periods. Frosts cause lower yields and effects grape quality due to reduction of bud fruitfulness and therefore grapevine production benefits from frost free periods.
Organic acids are essential in wine quality. The phenolic compounds such as anthocyanins and tannins help give the wine its colour, bitterness, astringency and anti-oxidant capacity.[125] Research has shown that grapevines exposed to temperature consistently around 30 degrees Celsius had significantly lower concentrations of anthocyanins compared to grapevines exposed to temperatures consistently around 20 degrees Celsius.[126] Temperatures around or exceeding 35 degrees Celsius are found to stall anthocyanin production as well as degrade the anthocyanins that are produced.[127] Furthermore, anthocyanins were found to be positively correlated to temperatures between 16 – 22 degrees Celsius from veraison (change of colour of the berries) to harvest.[128] Tannins give wine astringency and a "drying in the mouth" taste and also bind onto anthocyanin to give more stable molecular molecules which are important in giving long term colour in aged red wines.[129]
As the presence of phenolic compounds in wine are affected heavily by temperature, an increase in average temperatures will affect their presence in wine regions and will therefore affect grape quality.
Altered precipitation patterns are also anticipated (both annually and seasonally) with rainfall occurrences varying in amount and frequency. Increases in the amount of rainfall have will likely cause an increase in soil erosion; while occasional lack of rainfall, in times when it usually occurs, may result in drought conditions causing stress on grapevines.[130] Rainfall is critical at the beginning of the growing season for the budburst and inflorescence development while consistent dry periods are important for the flowering and ripening periods.[131]
Increased CO2 levels will likely have an effect on the photosynthetic activity in grapevines as photosynthesis is stimulated by a rise in CO2 and has been known to also lead to an increase leaf area and vegetative dry weight.[132] Raised atmospheric CO2 is also believed to result in partial stomatal closure which indirectly leads to increased leaf temperatures. A rise in leaf temperatures may alter ribulose 1,5-bisphosphate carboxylase/oxygenase (RuBisCo) relationship with carbon dioxide and oxygen which will also affect the plants' photosynthesis capabilities.[130] Raised atmospheric carbon dioxide is also known to decrease the stomatal density of some grapevine varieties.[133]
Cultivation variations
The gradually increasing temperatures will lead to a shift in suitable growing regions.[134] It is estimated that the northern boundary of European viticulture will shift north 10 to 30 kilometres (6.2 to 18.6 mi) per decade up to 2020 with a doubling of this rate predicted between 2020 and 2050.[135] This has positive and negative effects, as it opens doors to new cultivars being grown in certain regions but a loss of suitability of other cultivars and may also risk production quality and quantity in general.[136][134]
Potatoes
Climate change is predicted to have significant effects on global potato production.[105] Like many crops, potatoes are likely to be affected by changes in atmospheric carbon dioxide, temperature and precipitation, as well as interactions between these factors.[105] As well as affecting potatoes directly, climate change will also affect the distributions and populations of many potato diseases and pests. Potato is one of the world's most important food crops.[137] Unless farmers and potato cultivars can adapt to the new environment, the worldwide potato yield will be 18-32% lower than currently.[50]
Potato plants and potato crop yields are predicted to benefit from increased carbon dioxide concentrations in the atmosphere.[138] The major benefit of increased atmospheric carbon dioxide for potatoes (and other plants) is an increase in their photosynthetic rates which can increase their growth rates. Potato crop yields are also predicted to benefit because potatoes partition more starch to the edible tubers under elevated carbon dioxide levels.[105] Higher levels of atmospheric carbon dioxide also results in potatoes having to open their stomata less to take up an equal amount of carbon dioxide for photosynthesis,[105] which means less water loss through transpiration from stomata. As a result, the water use efficiency (the amount of carbon assimilated per unit water lost) of potato plants is predicted to increase.[105]
Potatoes grow best under temperate conditions.[106] Tuber growth and yield can be severely reduced by temperature fluctuations outside 5-30 °C.[110] The effect of increased temperatures on potato production in specific areas will vary depending partly on the current temperature of that area. Temperatures above 30 °C can have a range of negative effects on potato,[107] including:
- Slowing tuber growth and initiation.
- Less partitioning of starch to the tubers.
- Physiological damage to tubers (e.g. brown spots).
- Shortened/non-existent tuber dormancy, making tubers sprout too early.
These effects can reduce crop yield and the number and weight of tubers. As a result, areas where current temperatures are near the limits of potatoes’ temperature range (e.g. much of Subsaharan Africa)[105] will likely suffer large reductions in potato crop yields in the future.[106] At low temperatures potatoes are at risk of frost damage, which can reduce growth and badly damage tubers.[105] In areas where potato growth is currently limited or impossible due to risks of frost damage (e.g. at high altitudes and in high latitude countries such as Russia and Canada), rising temperatures will likely benefit potato crops by extending the growing season and extending potential potato growing land.[110]
Potatoes are sensitive to soil water deficits compared to other crops such as wheat,[139] and need frequent irrigation, especially while tubers are growing. Reduced rainfall in many areas is predicted to increase the need for irrigation of potato crops. For example, in the UK the amount of arable land suitable for rainfed potato production is expected to decrease by at least 75%.[140] As well as reductions in overall rainfall, potato crops also face challenges from changing seasonal rainfall patterns. For example, in Bolivia the rainy season has shortened in recent decades, resulting in a shorter potato growing season.[110]
Changes in pests and diseases for potato crops
Climate change is predicted to affect many potato pests and diseases. These include:
- Insect pests such as the potato tuber moth and Colorado potato beetle, which are predicted to spread into areas currently too cold for them.[105]
- Aphids which act as vectors for many potato viruses and will also be able to spread under increased temperatures.[141]
- Several pathogens causing potato blackleg disease (e.g. Dickeya) can grow and reproduce faster at higher temperatures and so will likely become more of a problem.[142]
- Bacterial infections such as Ralstonia solanacearum are predicted to benefit from higher temperatures and be able to spread more easily through flash flooding.[105]
- Late blight benefits from higher temperatures and wetter conditions.[143] Late blight is predicted to become a greater threat in some areas (e.g. in Finland [105]) and become a lesser threat in others (e.g. in the United Kingdom[138]).
Regional impacts
Africa
Agriculture is a particularly important sector in Africa, contributing towards livelihoods and economies across the continent. On average, agriculture in Sub-Saharan Africa contributes 15% of the total GDP.[144] Africa's geography makes it particularly vulnerable to climate change, and 70% of the population rely on rain-fed agriculture for their livelihoods.[145] Smallholder farms account for 80% of cultivated lands in Sub-Saharan Africa.[146][144] The IPCC in 2007 projected that climate variability and change would severely compromise agricultural productivity and access to food.[147]: 13 This projection was assigned "high confidence". Cropping systems, livestock and fisheries will be at greater risk of pest and diseases as a result of future climate change.[148] Crop pests already account for approximately 1/6th of farm productivity losses.[148] Climate change will accelerate the prevalence of pests and diseases and increase the occurrence of highly impactful events.[148] The impacts of climate change on agricultural production in Africa will have serious implications for food security and livelihoods. Between 2014 and 2018, Africa had the highest levels of food insecurity in the world.[149]
In relation to agricultural systems, heavy reliance on rain-fed subsistence farming and low adoption of climate smart agricultural practices contribute to the sector's high levels of vulnerability. The situation is compounded by poor reliability of, and access to, climate data and information to support adaptation actions.[150] Observed and projected disruptions in precipitation patterns due to climate change are likely to shorten growing seasons and affect crop yield in many parts of Africa. Furthermore, the agriculture sector in Africa is dominated by smallholder farmers with limited access to technology and the resources to adapt.[151]
Climate variability and change have been and continue to be the principal source of fluctuations in global food production across developing countries where production is highly rain-dependent.[152] The agriculture sector is sensitive to climate variability,[153] especially the inter-annual variability of precipitation, temperature patterns, and extreme weather events (droughts and floods). These climatic events are predicted to increase in the future and are expected to have significant consequences to the agriculture sector.[154] This would have a negative influence on food prices, food security, and land-use decisions.[155] Yields from rainfed agriculture in some African countries could be reduced by up to 50% by 2020.[154] In order to prevent the future destructive impact of climate variability on food production, it is crucial to adjust or suggest possible policies to cope with increased climate variability. African countries need to build a national legal framework to manage food resources in accordance with the anticipated climate variability. However, before devising a policy to cope with the impacts of climate variability, especially to the agriculture sector, it is critical to have a clear understanding of how climate variability affects different food crops. This is particularly relevant in 2020 due to the severe invasion of Locusts adversely affecting agriculture in eastern Africa.[156] The invasion was partially attributed to climate change - the warmer temperature and heavier rainfall which caused an abnormal increase in the number of locusts.[156]Asia
In East and Southeast Asia, IPCC projected in 2007 that crop yields could increase up to 20% by the mid-21st century.[89]: 13 In Central and South Asia, projections suggested that yields might decrease by up to 30%, over the same time period. These projections were assigned "medium confidence." Taken together, the risk of hunger was projected to remain very high in several developing countries.
Due to climate change, livestock production will be decreased in Bangladesh by diseases, scarcity of forage, heat stress and breeding strategies.[157]
Australia and New Zealand
Without further adaptation to climate change, projected impacts would likely be substantial. By 2030, production from agriculture and forestry was projected to decline over much of southern and eastern Australia, and over parts of eastern New Zealand.[158] In New Zealand, initial benefits were projected close to major rivers and in western and southern areas.[158]
Europe
IPCC predicted in 2007 with high confidence that in Southern Europe, climate change would reduce crop productivity.[89]: 14 In Central and Eastern Europe, forest productivity was expected to decline. In Northern Europe, the initial effect of climate change was projected to increase crop yields. The 2019 European Environment Agency report "Climate change adaptation in the agricultural sector in Europe" again confirmed this. According to this 2019 report, projections indicate that yields of non-irrigated crops like wheat, corn and sugar beet would decrease in southern Europe by up to 50% by 2050 (under a high-end emission scenario). This could result in a substantial decrease in farm income by that date. Also farmland values are projected to decrease in parts of southern Europe by more than 80% by 2100, which could result in land abandonment. The trade patterns are also said to be impacted, in turn affecting agricultural income. Also, increased food demand worldwide could exert pressure on food prices in the coming decades.[159]
Latin America
The major agricultural products of Latin America include livestock and grains; such as maize, wheat, soybeans, and rice.[160][161] Increased temperatures and altered hydrological cycles are predicted to translate to shorter growing seasons, overall reduced biomass production, and lower grain yields.[161][162] Brazil, Mexico and Argentina alone contribute 70-90% of the total agricultural production in Latin America.[161] In these and other dry regions, maize production is expected to decrease.[160][161] A study summarizing a number of impact studies of climate change on agriculture in Latin America indicated that wheat is expected to decrease in Brazil, Argentina and Uruguay.[161] Livestock, which is the main agricultural product for parts of Argentina, Uruguay, southern Brazil, Venezuela, and Colombia is likely to be reduced.[160][161] Variability in the degree of production decrease among different regions of Latin America is likely.[160] For example, one 2003 study that estimated future maize production in Latin America predicted that by 2055 maize in eastern Brazil will have moderate changes while Venezuela is expected to have drastic decreases.[160]
Increased rainfall variability has been one of the most devastating consequences of climate change in Central America and Mexico. From 2009 to 2019, the region saw years of heavy rainfall in between years of below average rainfall.[163] The spring rains of May and June have been particularly erratic, posing issues for farmers plant their maize crops at the onset of the spring rains. Most subsistence farmers in the region have no irrigation and thus depend on the rains for their crops to grow. In Mexico, only 21% of farms are irrigated, leaving the remaining 79% dependent on rainfall.[164]
Suggested potential adaptation strategies to mitigate the impacts of global warming on agriculture in Latin America include using plant breeding technologies and installing irrigation infrastructure.[161]
North America
Droughts are becoming more frequent and intense in arid and semiarid western North America as temperatures have been rising, advancing the timing and magnitude of spring snow melt floods and reducing river flow volume in summer.[165] Direct effects of climate change include increased heat and water stress, altered crop phenology, and disrupted symbiotic interactions. These effects may be exacerbated by climate changes in river flow, and the combined effects are likely to reduce the abundance of native trees in favour of non-native herbaceous and drought-tolerant competitors, reduce the habitat quality for many native animals, and slow litter decomposition and nutrient cycling. Climate change effects on human water demand and irrigation may intensify these effects.[166]
Contributions of agriculture to climate change
See also
References
- Porter, J.R., L. Xie, A.J. Challinor, K. Cochrane, S.M. Howden, M.M. Iqbal, D.B. Lobell, and M.I. Travasso, 2014: Food security and food production systems (Chapter 7). In: Climate Change 2014: Impacts, Adaptation, and Vulnerability. Part A: Global and Sectoral Aspects. Contribution of Working Group II to the Fifth Assessment Report of the Intergovernmental Panel on Climate Change [Field, C.B., V.R. Barros, D.J. Dokken, K.J. Mach, M.D. Mastrandrea, T.E. Bilir, M. Chatterjee, K.L. Ebi, Y.O. Estrada, R.C. Genova, B. Girma, E.S. Kissel, A.N. Levy, S. MacCracken, P.R. Mastrandrea, and L.L.White (eds.)]. Cambridge University Press, Cambridge, United Kingdom and New York, NY, USA, pp. 485-533.
- Little, Amanda (28 August 2019). "Climate Change Is Likely to Devastate the Global Food Supply. But There's Still Reason to Be Hopeful". Time. Retrieved 30 August 2019.
- Mbow, C., C. Rosenzweig, L.G. Barioni, T.G. Benton, M. Herrero, M. Krishnapillai, E. Liwenga, P. Pradhan, M.G. Rivera-Ferre, T. Sapkota, F.N. Tubiello, Y. Xu, 2019: https://www.ipcc.ch/site/assets/uploads/sites/4/2021/02/08_Chapter-5_3.pdf (Chapter 5). In: Climate Change and Land: an IPCC special report on climate change, desertification, land degradation, sustainable land management, food security, and greenhouse gas fluxes in terrestrial ecosystems [P.R. Shukla, J. Skea, E. Calvo Buendia, V. Masson-Delmotte, H.-O. Pörtner, D.C. Roberts, P. Zhai, R. Slade, S. Connors, R. van Diemen, M. Ferrat, E. Haughey, S. Luz, S. Neogi, M. Pathak, J. Petzold, J. Portugal Pereira, P. Vyas, E. Huntley, K. Kissick, M. Belkacemi, J. Malley, (eds.)]. In press.
- Flavelle, Christopher (8 August 2019). "Climate Change Threatens the World's Food Supply, United Nations Warns". The New York Times.
- "Europe's heat and drought crop losses tripled in 50 years: study". phys.org. Retrieved 19 April 2021.
- Brás, Teresa Armada; Seixas, Júlia; Carvalhais, Nuno; Jägermeyr, Jonas (18 March 2021). "Severity of drought and heatwave crop losses tripled over the last five decades in Europe". Environmental Research Letters. 16 (6): 065012. Bibcode:2021ERL....16f5012B. doi:10.1088/1748-9326/abf004. ISSN 1748-9326.
Available under CC BY 4.0. - Oppenheimer, M., M. Campos, R.Warren, J. Birkmann, G. Luber, B. O’Neill, and K. Takahashi, 2014: Emergent risks and key vulnerabilities (Chapter 17). In: Climate Change 2014: Impacts, Adaptation, and Vulnerability. Part A: Global and Sectoral Aspects. Contribution of Working Group II to the Fifth Assessment Report of the Intergovernmental Panel on Climate Change [Field, C.B., V.R. Barros, D.J. Dokken, K.J. Mach, M.D. Mastrandrea, T.E. Bilir, M. Chatterjee, K.L. Ebi, Y.O. Estrada, R.C. Genova, B. Girma, E.S. Kissel, A.N. Levy, S. MacCracken, P.R. Mastrandrea, and L.L.White (eds.)]. Cambridge University Press, Cambridge, United Kingdom and New York, NY, USA, pp. 1039-1099.
- Bezner Kerr, Rachel; Hasegawa, Toshihiro; Lasco, Rodel; Bhatt, Indra; et al. "Chapter 5: Food, Fibre, and other Ecosystem Products" (PDF). Climate Change 2022: Impacts, Adaptation and Vulnerability. The Sixth Assessment Report of the Intergovernmental Panel on Climate Change. In Press.
- Connor, Jeffery D.; Schwabe, Kurt; King, Darran; Knapp, Keith (May 2012). "Irrigated agriculture and climate change: The influence of water supply variability and salinity on adaptation". Ecological Economics. 77: 149–157. doi:10.1016/j.ecolecon.2012.02.021.
- Sindhu, J.S. (March 2011). "Potential Impacts of Climate Change on Agriculture". Indian Journal of Science and Technology. 4 (3): 348–353. doi:10.17485/ijst/2011/v4i3.32. ISSN 0974-6846.
- Tubiello, Francesco N.; Rosenzweig, Cynthia (2008). "Developing climate change impact metrics for agriculture". The Integrated Assessment Journal. 8 (1): 165–184.
- Tubiello, Francesco N.; Soussana, Jean-François; Howden, S. Mark (2007). "Crop and pasture response to climate change". Proceedings of the National Academy of Sciences. 104 (50): 19686–19690. Bibcode:2007PNAS..10419686T. doi:10.1073/pnas.0701728104. PMC 2148358. PMID 18077401.
- Epstein, Paul R.; Ferber, Dan (2011). Changing Planet, Changing Health: How the Climate Crisis Threatens Our Health and what We Can Do about it. University of California Press. ISBN 978-0-520-26909-5.
- Thomson, Linda J.; Macfadyen, Sarina; Hoffmann, Ary A. (March 2010). "Predicting the effects of climate change on natural enemies of agricultural pests". Biological Control. 52 (3): 296–306. doi:10.1016/j.biocontrol.2009.01.022.
- Kulshreshtha, Surendra N. (March 2011). "Climate Change, Prairie Agriculture and Prairie Economy: The new normal". Canadian Journal of Agricultural Economics. 59 (1): 19–44. doi:10.1111/j.1744-7976.2010.01211.x.
- Lemmen, Donald S.; Warren, Fiona J., eds. (2004). Climate Change Impacts and Adaptation: A Canadian Perspective (PDF) (Report). Natural Resources Canada. ISBN 0-662-33123-0.
- Meng Q, Hou P, Lobell DB, Wang H, Cui Z, Zhang F, Chen X (2013). "The benefits of recent warming for maize production in high latitude China". Climatic Change. 122 (1–2): 341–349. doi:10.1007/s10584-013-1009-8. hdl:10.1007/s10584-013-1009-8. S2CID 53989985.
- BERWYN, BOB (28 July 1018). "This Summer's Heat Waves Could Be the Strongest Climate Signal Yet". No. Climate change. Inside Climate News. Retrieved 9 August 2018.
- Kristjanson, Patti; Neufeldt, Henry; Gassner, Anja; et al. (2012). "Are food insecure smallholder households making changes in their farming practices? Evidence from East Africa". Food Security. 4 (3): 381–397. doi:10.1007/s12571-012-0194-z.
- Hertel, Thomas W.; Rosch, Stephanie D. (June 2010). "Climate Change, Agriculture, and Poverty" (PDF). Applied Economic Perspectives and Policy. 32 (3): 355–385. doi:10.1093/aepp/ppq016. hdl:10986/3949. S2CID 55848822.
- Dai, A. (2011). "Drought under global warming: A review". Wiley Interdisciplinary Reviews: Climate Change. 2: 45–65. Bibcode:2011AGUFM.H42G..01D. doi:10.1002/wcc.81. S2CID 16830646.
- Mishra AK, Singh VP (2011). "Drought modeling – A review". Journal of Hydrology. 403 (1–2): 157–175. Bibcode:2011JHyd..403..157M. doi:10.1016/j.jhydrol.2011.03.049.
- Ding Y, Hayes MJ, Widhalm M (2011). "Measuring economic impacts of drought: A review and discussion". Disaster Prevention and Management. 20 (4): 434–446. doi:10.1108/09653561111161752.
- Gale, Jordan; Olmos, Sergio (4 September 2021). "When Hard Jobs Turn Hazardous". The New York Times. ISSN 0362-4331. Retrieved 4 September 2021.
- Higgins, Eoin (29 May 2019). "Climate Crisis Brings Historic Delay to Planting Season, Pressuring Farmers and Food Prices". Ecowatch. Retrieved 30 May 2019.
- Brimelow JC, Burrows WR, Hanesiak JM (26 June 2017). "The changing hail threat over North America in response to anthropogenic climate change". Nature Climate Change. 7 (7): 516–522. Bibcode:2017NatCC...7..516B. doi:10.1038/nclimate3321.
- Botzen WJ, Bouwer LM, Van den Bergh JC (August 2010). "Climate change and hailstorm damage: Empirical evidence and implications for agriculture and insurance". Resource and Energy Economics. 32 (3): 341–362. doi:10.1016/j.reseneeco.2009.10.004.
- Potenza, Alessandra (26 June 2017). "Bigger hail might pummel the US as climate change gathers more force". The Verge.
- Hille K (3 May 2016). "Rising Carbon Dioxide Levels Will Help and Hurt Crops". NASA. Retrieved 29 November 2018.
- Ueyama M, Ichii K, Kobayashi H, Kumagai TO, Beringer J, Merbold L, et al. (17 July 2020). "Inferring CO2 fertilization effect based on global monitoring land-atmosphere exchange with a theoretical model". Environmental Research Letters. 15 (8): 084009. Bibcode:2020ERL....15h4009U. doi:10.1088/1748-9326/ab79e5. ISSN 1748-9326.
- Tharammal T, Bala G, Narayanappa D, Nemani R (April 2019). "Potential roles of CO2 fertilization, nitrogen deposition, climate change, and land use and land cover change on the global terrestrial carbon uptake in the twenty-first century". Climate Dynamics. 52 (7–8): 4393–4406. Bibcode:2019ClDy...52.4393T. doi:10.1007/s00382-018-4388-8. ISSN 0930-7575. S2CID 134286531.
- Hararuk O, Campbell EM, Antos JA, Parish R (December 2018). "Tree rings provide no evidence of a CO2 fertilization effect in old-growth subalpine forests of western Canada". Global Change Biology. 25 (4): 1222–1234. Bibcode:2019GCBio..25.1222H. doi:10.1111/gcb.14561. PMID 30588740.
- Bastos A, Ciais P, Chevallier F, Rödenbeck C, Ballantyne AP, Maignan F, Yin Y, Fernández-Martínez M, Friedlingstein P, Peñuelas J, Piao SL (7 October 2019). "Contrasting effects of CO2 fertilization, land-use change and warming on seasonal amplitude of Northern Hemisphere CO2 exchange". Atmospheric Chemistry and Physics. 19 (19): 12361–12375. Bibcode:2019ACP....1912361B. doi:10.5194/acp-19-12361-2019. ISSN 1680-7324.
- Li Q, Lu X, Wang Y, Huang X, Cox PM, Luo Y (8 May 2018). "Leaf Area Index identified as a major source of variability in modelled CO2 fertilization". doi:10.5194/bg-2018-213.
{{cite journal}}: Cite journal requires|journal=(help) - Cartwright J (16 August 2013). "How does carbon fertilization affect crop yield?". environmentalresearchweb. Environmental Research Letters. Archived from the original on 27 June 2018. Retrieved 3 October 2016.
- Smith WK, Reed SC, Cleveland CC, Ballantyne AP, Anderegg WR, Wieder WR, et al. (March 2016). "Large divergence of satellite and Earth system model estimates of global terrestrial CO2 fertilization". Nature Climate Change. 6 (3): 306–310. Bibcode:2016NatCC...6..306K. doi:10.1038/nclimate2879. ISSN 1758-678X.
- Milius S (13 December 2017). "Worries grow that climate change will quietly steal nutrients from major food crops". Science News. Retrieved 21 January 2018.
- Smith MR, Myers SS (27 August 2018). "Impact of anthropogenic CO2 emissions on global human nutrition". Nature Climate Change. 8 (9): 834–839. Bibcode:2018NatCC...8..834S. doi:10.1038/s41558-018-0253-3. ISSN 1758-678X. S2CID 91727337.
- Davis N (27 August 2018). "Climate change will make hundreds of millions more people nutrient deficient". The Guardian. Retrieved 29 August 2018.
- Loladze I (7 May 2014). "Hidden shift of the ionome of plants exposed to elevated CO2 depletes minerals at the base of human nutrition". eLife. 3 (9): e02245. doi:10.7554/eLife.02245. PMC 4034684. PMID 24867639.
- Loladze I (2002). "Rising atmospheric CO2 and human nutrition: toward globally imbalanced plant stoichiometry?". Trends in Ecology & Evolution. 17 (10): 457–461. doi:10.1016/S0169-5347(02)02587-9.
- Zhu C, Kobayashi K, Loladze I, Zhu J, Jiang Q, Xu X, et al. (May 2018). "2) levels this century will alter the protein, micronutrients, and vitamin content of rice grains with potential health consequences for the poorest rice-dependent countries". Science Advances. 4 (5): eaaq1012. doi:10.1126/sciadv.aaq1012. PMC 5966189. PMID 29806023.
- Milius S (23 May 2018). "As CO2 increases, rice loses B vitamins and other nutrients". Sciencenews.org. Retrieved 2 July 2018.
- Coviella CE, Trumble JT (1999). "Effects of Elevated Atmospheric Carbon Dioxide on Insect-Plant Interactions". Conservation Biology. 13 (4): 700–712. doi:10.1046/j.1523-1739.1999.98267.x. JSTOR 2641685. S2CID 52262618.
- Hummel, Marijke; Hallahan, Brendan F.; Brychkova, Galina; Ramirez-Villegas, Julian; Guwela, Veronica; Chataika, Bartholomew; Curley, Edna; McKeown, Peter C.; Morrison, Liam; Talsma, Elise F.; Beebe, Steve (1 November 2018). "Reduction in nutritional quality and growing area suitability of common bean under climate change induced drought stress in Africa". Scientific Reports. 8 (1): 16187. Bibcode:2018NatSR...816187H. doi:10.1038/s41598-018-33952-4. ISSN 2045-2322. PMC 6212502. PMID 30385766.
- "Global Warming Could Trigger Insect Population Boom". Live Science. Retrieved 2 May 2017.
- Chakraborty, S.; Newton, A. C. (10 January 2011). "Climate change, plant diseases and food security: an overview". Plant Pathology. 60 (1): 2–14. doi:10.1111/j.1365-3059.2010.02411.x.
- Stange E (November 2010). "Climate Change Impact: Insects". Norwegian Institute for Nature Research.
{{cite journal}}: Cite journal requires|journal=(help) - Sgrò, Carla M.; Terblanche, John S.; Hoffmann, Ary A. (11 March 2016). "What Can Plasticity Contribute to Insect Responses to Climate Change?". Annual Review of Entomology. Annual Reviews. 61 (1): 433–451. doi:10.1146/annurev-ento-010715-023859. ISSN 0066-4170. PMID 26667379.
- Luck, J.; Spackman, M.; Freeman, A.; Tre˛bicki, P.; Griffiths, W.; Finlay, K.; Chakraborty, S. (10 January 2011). "Climate change and diseases of food crops". Plant Pathology. British Society for Plant Pathology (Wiley-Blackwell). 60 (1): 113–121. doi:10.1111/j.1365-3059.2010.02414.x. ISSN 0032-0862.
- Rodenburg, J.; Meinke, H.; Johnson, D. E. (August 2011). "Challenges for weed management in African rice systems in a changing climate". The Journal of Agricultural Science (Submitted manuscript). 149 (4): 427–435. doi:10.1017/S0021859611000207. S2CID 5336023.
- "Locust swarms and climate change". UN Environment. 6 February 2020. Retrieved 29 November 2020.
- Zacarias, Daniel Augusta (1 August 2020). "Global bioclimatic suitability for the fall armyworm, Spodoptera frugiperda (Lepidoptera: Noctuidae), and potential co-occurrence with major host crops under climate change scenarios". Climatic Change. 161 (4): 555–566. Bibcode:2020ClCh..161..555Z. doi:10.1007/s10584-020-02722-5. ISSN 1573-1480. S2CID 218573386.
- "Early Summer Weed Control" (PDF).
- Coakley, Stella Melugin; Scherm, Harald; Chakraborty, Sukumar (September 1999). "Climate Change and Plant Disease Management". Annual Review of Phytopathology. 37 (1): 399–426. doi:10.1146/annurev.phyto.37.1.399. ISSN 0066-4286. PMID 11701829.
- Chakraborty, S.; Pangga, I. B. (2004). "Plant disease and climate change". [chapter-https://www.taylorfrancis.com/chapters/edit/10.4324/9780203506608-14/plant-disease-climate-change-chakraborty-pangga Plant Microbiology]. Taylor & Francis. doi:10.4324/9780203506608. ISBN 978-0-203-50660-8. Retrieved 1 April 2022.
- Coakley SM, Scherm H, Chakraborty S (September 1999). "Climate change and plant disease management". Annual Review of Phytopathology. 37: 399–426. doi:10.1146/annurev.phyto.37.1.399. PMID 11701829.
- "Agricultural Adaptation to Climate Change". Archived from the original on 4 May 2017. Retrieved 2 May 2017.
- Myers, Samuel S.; Smith, Matthew R.; Guth, Sarah; Golden, Christopher D.; Vaitla, Bapu; Mueller, Nathaniel D.; Dangour, Alan D.; Huybers, Peter (20 March 2017). "Climate Change and Global Food Systems: Potential Impacts on Food Security and Undernutrition". Annual Review of Public Health. 38 (1): 259–277. doi:10.1146/annurev-publhealth-031816-044356. ISSN 0163-7525. PMID 28125383.
- Ray, Deepak K.; West, Paul C.; Clark, Michael; Gerber, James S.; Prishchepov, Alexander V.; Chatterjee, Snigdhansu (2019). Jung, Young Hoon (ed.). "Climate change has likely already affected global food production". PLOS ONE. 14 (5): e0217148. doi:10.1371/journal.pone.0217148. ISSN 1932-6203. PMC 6544233. PMID 31150427.
- "Special Report on Climate Change and Land". IPCC. 2019. Retrieved 26 April 2022.
- Mbow, C.; Rosenzweig, C.; Barioni, L. G.; Benton, T.; et al. (2019). "Chapter 5: Food Security" (PDF). IPCC SRCCL 2019. p. 439. Archived (PDF) from the original on 27 November 2019. Retrieved 24 December 2019.
- Beddington, John R.; Asaduzzaman, Mohammed; Clark, Megan E.; et al. (2012). "The role for scientists in tackling food insecurity and climate change". Agriculture & Food Security. 1 (10): 10. doi:10.1186/2048-7010-1-10.
- Fox-Kemper, Baylor; Hewitt, Helene T.; Xiao, Cunde; et al. (2021). "Chapter 9: Ocean, Cryosphere, and Sea Level Change" (PDF). Climate Change 2021: The Physical Science Basis. Contribution of Working Group I to the Sixth Assessment Report of the Intergovernmental Panel on Climate. Cambridge University Press.
- Wassmann R (July–September 2007). "Coping With Climate Change" (PDF). Rice Today. IRRI: 10–15. Archived from the original (PDF) on 27 March 2009. Retrieved 7 October 2009.
- German Research Indicates Warming in Siberia, Global Warming Today, Global Warming Today
- Federal Service for Hydrometeorology and Environmental Monitoring 5Roshydromet), Strategic Forecast of Climate Change in the Russian Federation 2010–2015 and Its Impact on Sectors of the Russian Economy (Moscow 2005)
- Kokorin AO, Gritsevich IG (2007). "The Danger of Climate Change for Russia – Expected Losses and Recommendations" (PDF). Russian Analytical Digest (23): 2–4.
- Pearce, Fred (3 October 2003). "Global warming 'will hurt Russia'". New Scientist.
- Anisimov OA, et al. (2007). "Chapter 15: Polar regions (Arctic and Antarctic): Executive summary". In Parry, ML, et al. (eds.). Climate Change 2007: Impacts, Adaptation and Vulnerability. Contribution of Working Group II to the Fourth Assessment Report of the Intergovernmental Panel on Climate Change. Cambridge University Press.
- "Glaciers Are Melting Faster Than Expected, UN Reports". ScienceDaily.
- Kraaijenbrink, P. D. A.; Bierkens, M. F. P.; Lutz, A. F.; Immerzeel, W. W. (September 2017). "Impact of a global temperature rise of 1.5 degrees Celsius on Asia's glaciers". Nature. 549 (7671): 257–260. Bibcode:2017Natur.549..257K. doi:10.1038/nature23878. ISSN 0028-0836. PMID 28905897. S2CID 4398745.
- Biemans, H.; Siderius, C.; Lutz, A. F.; Nepal, S.; Ahmad, B.; Hassan, T.; von Bloh, W.; Wijngaard, R. R.; Wester, P.; Shrestha, A. B.; Immerzeel, W. W. (July 2019). "Importance of snow and glacier meltwater for agriculture on the Indo-Gangetic Plain". Nature Sustainability. 2 (7): 594–601. doi:10.1038/s41893-019-0305-3. ISSN 2398-9629. S2CID 199110415.
- "Big melt threatens millions, says UN". People & the Planet. Archived from the original on 19 February 2008.
- "Ganges, Indus may not survive: climatologists". Rediff.com India Limited. 24 July 2007.
- "Himalaya glaciers melt unnoticed". 10 November 2004 – via bbc.co.uk.
- Doetterl S, Oost KV, Six J (1 May 2012). "Towards constraining the magnitude of global agricultural sediment and soil organic carbon fluxes". Earth Surface Processes and Landforms. 37 (6): 642–655. Bibcode:2012ESPL...37..642D. doi:10.1002/esp.3198. hdl:2078.1/123112. ISSN 1096-9837. S2CID 129147849.
- Naylor, Dan; Sadler, Natalie; Bhattacharjee, Arunima; Graham, Emily B.; Anderton, Christopher R.; McClure, Ryan; Lipton, Mary; Hofmockel, Kirsten S.; Jansson, Janet K. (2020). "Soil Microbiomes Under Climate Change and Implications for Carbon Cycling". Annual Review of Environment and Resources. 45: 29–59. doi:10.1146/annurev-environ-012320-082720.
- "ECPA". www.ecpa.eu. Retrieved 28 November 2020.
- "Earliest Blooms Recorded in U.S. Due to Global Warming". National Geographic News. 17 January 2013. Retrieved 28 November 2020.
- Haldar I (23 December 2010). Global Warming: The Causes and Consequences. Mind Melodies. ISBN 9789380302812.
- Bhattacharya A (14 June 2019). Effect of High Temperature on Crop Productivity and Metabolism of Macro Molecules. Academic Press. ISBN 9780128176054.
- Rosenzweig C (2007). "1.3.6.1 Crops and livestock". In Parry ML, et al. (eds.). Chapter 1: Assessment of Observed Changes and Responses in Natural and Managed Systems. Climate change 2007: impacts, adaptation and vulnerability: contribution of Working Group II to the fourth assessment report of the Intergovernmental Panel on Climate Change. Cambridge University Press (CUP): Cambridge, UK: Print version: CUP. This version: IPCC website. ISBN 978-0-521-88010-7. Archived from the original on 3 November 2018. Retrieved 25 June 2011.
- Parry ML, et al., eds. (2007). "Definition of "phenology"". Appendix I: Glossary. Climate change 2007: impacts, adaptation and vulnerability: contribution of Working Group II to the fourth assessment report of the Intergovernmental Panel on Climate Change. Cambridge University Press (CUP): Cambridge, UK: Print version: CUP. This version: IPCC website. ISBN 978-0-521-88010-7. Archived from the original on 8 November 2011. Retrieved 25 June 2011.
- Rosenzweig C (2007). "Executive summary". In Parry MC, et al. (eds.). Chapter 1: Assessment of Observed Changes and Responses in Natural and Managed Systems. Climate change 2007: impacts, adaptation and vulnerability: contribution of Working Group II to the fourth assessment report of the Intergovernmental Panel on Climate Change. Cambridge University Press (CUP): Cambridge, UK: Print version: CUP. This version: IPCC website. ISBN 978-0-521-88010-7. Archived from the original on 2 November 2018. Retrieved 25 June 2011.
- IPCC, 2019: Summary for Policymakers. In: Climate Change and Land: an IPCC special report on climate change, desertification, land degradation, sustainable land management, food security, and greenhouse gas fluxes in terrestrial ecosystems [P.R. Shukla, J. Skea, E. Calvo Buendia, V. Masson-Delmotte, H.- O. Pörtner, D. C. Roberts, P. Zhai, R. Slade, S. Connors, R. van Diemen, M. Ferrat, E. Haughey, S. Luz, S. Neogi, M. Pathak, J. Petzold, J. Portugal Pereira, P. Vyas, E. Huntley, K. Kissick, M. Belkacemi, J. Malley, (eds.)]. In press.
- Cline, William R. (March 2008). "Global Warming and Agriculture". Finance and Development | F&D. Retrieved 15 March 2022.
- Schneider SH (2007). "19.3.1 Introduction to Table 19.1". In Parry ML, et al. (eds.). Chapter 19: Assessing Key Vulnerabilities and the Risk from Climate Change. Climate change 2007: impacts, adaptation and vulnerability: contribution of Working Group II to the fourth assessment report of the Intergovernmental Panel on Climate Change. Cambridge University Press (CUP): Cambridge, UK: Print version: CUP. This version: IPCC website. ISBN 978-0-521-88010-7. Archived from the original on 12 March 2013. Retrieved 4 May 2011.
- IPCC (2007). "Summary for Policymakers: C. Current knowledge about future impacts". In Parry ML, et al. (eds.). Climate Change 2007: Impacts, Adaptation and Vulnerability. Contribution of Working Group II to the Fourth Assessment Report of the Intergovernmental Panel on Climate Change. Cambridge University Press.
- Easterling WE (2007). "Executive summary". In Parry ML, et al. (eds.). Chapter 5: Food, Fibre, and Forest Products. Climate change 2007: impacts, adaptation and vulnerability: contribution of Working Group II to the fourth assessment report of the Intergovernmental Panel on Climate Change. Cambridge University Press. ISBN 978-0-521-88010-7. Archived from the original on 12 March 2013. Retrieved 9 January 2013.
- Easterling WE (2007). "5.6.5 Food security and vulnerability". In Parry ML, et al. (eds.). Chapter 5: Food, Fibre, and Forest Products. Climate change 2007: impacts, adaptation and vulnerability: contribution of Working Group II to the fourth assessment report of the Intergovernmental Panel on Climate Change. Cambridge University Press. ISBN 978-0-521-88010-7. Archived from the original on 2 November 2018. Retrieved 25 June 2011.
- Parry ML (2007). "Box TS.2. Communication of uncertainty in the Working Group II Fourth Assessment". In Parry ML, et al. (eds.). Technical summary. Climate change 2007: impacts, adaptation and vulnerability: contribution of Working Group II to the fourth assessment report of the Intergovernmental Panel on Climate Change. Cambridge University Press (CUP): Cambridge, UK: Print version: CUP. This version: IPCC website. ISBN 978-0-521-88010-7. Archived from the original on 8 June 2011. Retrieved 4 May 2011.
- Figure 5.1, p.161, in: Sec 5.1 FOOD PRODUCTION, PRICES, AND HUNGER, in: Ch 5: Impacts in the Next Few Decades and Coming Centuries, in: US NRC 2011
- Sec 5.1 FOOD PRODUCTION, PRICES, AND HUNGER, pp.160-162, in: Ch 5: Impacts in the Next Few Decades and Coming Centuries, in US NRC 2011
- Challinor, A. J.; Watson, J.; Lobell, D. B.; Howden, S. M.; Smith, D. R.; Chhetri, N. (2014). "A meta-analysis of crop yield under climate change and adaptation" (PDF). Nature Climate Change. 4 (4): 287–291. Bibcode:2014NatCC...4..287C. doi:10.1038/nclimate2153. ISSN 1758-678X.
- Nelson, Gerald C.; Rosegrant, Mark W.; Koo, Jawoo; et al. (October 2009). Climate Change: Impact on Agriculture and Costs of Adaptation (PDF) (Report). Washington, DC: International Food Policy Research Institute. Archived from the original (PDF) on 5 May 2016. Retrieved 12 August 2016.
- Hertel, Thomas W.; Rosch, Stephanie D. (June 2010). "Climate Change, Agriculture, and Poverty" (PDF). Applied Economic Perspectives and Policy. 32 (3): 355–385. doi:10.1093/aepp/ppq016. hdl:10986/3949. S2CID 55848822.
- Aryal, Jeetendra Prakash; Sapkota, Tek B.; Khurana, Ritika; Khatri-Chhetri, Arun; Rahut, Dil Bahadur; Jat, M. L. (2020). "Climate change and agriculture in South Asia: adaptation options in smallholder production systems". Environment, Development and Sustainability. 22 (6): 5045–5075. doi:10.1007/s10668-019-00414-4. ISSN 1387-585X. S2CID 199317833.
- Vulnerability to Climate Change: Adaptation Strategies and layers of Resilience, ICRISAT, Policy Brief No. 23, February 2013
- "Climate-Smart Agriculture". World Bank. Retrieved 26 July 2019.
- "Climate-Smart Agriculture". Food and Agriculture Organization of the United Nations. 19 June 2019. Retrieved 26 July 2019.
- "CLIMATE-SMART AGRICULTURE Sourcebook" (PDF). Food and agriculture organization of the United Nations. 2013.
- https://www.giz.de/en/downloads/ICCAS_What%20is%20Climate%20Smart%20Agriculture_FS_EN_2018.pdf
- "Climate-Smart Agriculture Policies and planning". Archived from the original on 31 March 2016.
- Haverkort, A. J.; Verhagen, A. (October 2008). "Climate Change and Its Repercussions for the Potato Supply Chain". Potato Research. 51 (3–4): 223–237. doi:10.1007/s11540-008-9107-0. S2CID 22794078.
- Hijmans, Robert J. (2003). "The Effect of Climate Change on Global Potato Production". American Journal of Potato Research. 80 (4): 271–280. doi:10.1007/bf02855363. S2CID 3355406.
- Levy, David; Veilleux, R. E. (2007). "Adaptation of Potato to High Temperatures and Salinity A Review". American Journal of Potato Research. 84 (6): 487–506. doi:10.1007/bf02987885. S2CID 602971.
- "Information highlights from World Potato Congress, Kunming, China, April 2004" (PDF). World Potato Congress. Retrieved 7 November 2012.
- "Potato and water resources". FAO. Archived from the original on 20 June 2012. Retrieved 7 November 2012.
- "Climate change - can potato stand the heat?". WRENmedia. Retrieved 7 November 2012.
- Tarara, J. M., Lee, J. M., Spayd, S. E. & Scagel, C. F. (2008). Berry temperature and solar radiation alter acylation, proportion, and concentration of anthocyanin in Merlot grapes. American Journal of Enology and Viticulture 59(3): 235-247
- Petrie, P. R. & Clingeleffer, P. R. (2005). Effects of temperature and light (before and after budburst) on inflorescence morphology and flower number of Chardonnay grapevines ( Vitis vinifera L.). Australian Journal of Grape and Wine Research 11(1): 59-65
- Bowen, P. A., Bogdanoff, C. R. & Estergaard, B. (2004). Impacts of using polyethylene sleeves and wavelength-selective mulch in vineyards. I. Effects on air and soil temperatures and degree day accumulation. Canadian Journal of Plant Science 84(2): 545-553
- Welch, Jarrod R.; Vincent, J.R.; Auffhammer, M.; Dobermann, A.; Moya, P.; Dawe, D. (2010). "Rice yields in tropical/subtropical Asia exhibit large but opposing sensitivities to minimum and maximum temperatures". Proc. Natl. Acad. Sci. U.S.A. 107 (33): 14562–67. Bibcode:2010PNAS..10714562W. doi:10.1073/pnas.1001222107. PMC 2930450. PMID 20696908.
- Black, Richard (August 9, 2010) Rice yields falling under global warming Archived April 5, 2018, at the Wayback Machine BBC News Science & Environment. Retrieved August 9, 2010.
- Singh SK (2016). "Climate Change: Impact on Indian Agriculture & its Mitigation". Journal of Basic and Applied Engineering Research. 3 (10): 857–859.
- Rao P, Patil Y (2017). Reconsidering the Impact of Climate Change on Global Water Supply, Use, and Management. IGI Global. p. 330. ISBN 978-1-5225-1047-5.
- Chloupek, O., Hrstkova, P. & Schweigert, P. (2004). Yield and its stability, crop diversity, adaptability and response to climate change, weather and fertilisation over 75 years in the Czech Republic in comparison to some European countries. Field Crops Research 85(2/3): 167-190
- Fraga, H.; Malheiro, AC; Moutinho-Pereira, J.; Santos, JA. 2014. "Climate factors driving wine production in the Portuguese Minho region", Agricultural and Forest Meteorology, 185: 26 - 36.
- Gladstones, J. (2016). Viticulture and Environment. Revised edition. Tanunda, South Australia: Trivinum Press. ISBN 978 0 9945016 1 5.
- Fraga, H., Santos, J.A., Malheiro, A.C., Oliveira, A.A., Moutinho-Pereira, J. and Jones, G.V., 2015. Climatic suitability of Portuguese grapevine varieties and climate change adaptation. Int. J. Clim.: doi:10.1002/joc.4325.
- Grzeskowiak, L., Costantini, L., Lorenzi, S. & Grando, M. S. (2013). Candidate loci for phenology and fruitfulness contributing to the phenotypic variability observed in grapevine. Theoretical and Applied Genetics 126(11): 2763-2776. https://rd.springer.com/article/10.1007/s00122-013-2170-1
- Jones, G. V. (2005).Climate change in the western United States grape growing regions. In Proceedings of the Seventh International Symposium on Grapevine Physiology and Biotechnology, 41-59 (Ed L. E. Williams)
- Winkler, A., Cook, J., Kliewere, W. & Lider, L. (1974). General Viticulture. University of California Press, Berkeley
- Downey, M. O., Dokoozlian, N. K. & Krstic, M. P. (2006). Cultural practice and environmental impacts on the flavonoid composition of grapes and wine: A review of recent research. American Journal of Enology and Viticulture 57(3): 257-268
- Yamane, T., Jeong, S. T., Goto-Yamamoto, N., Koshita, Y. & Kobayashi, S. (2006). Effects of temperature on anthocyanin biosynthesis in grape berry skins. American Journal of Enology and Viticulture 57(1): 54-59
- Mori, K., Goto-Yamamoto, N., Kitayama, M. & Hashizume, K. (2007). Loss of anthocyanins in red-wine grape under high temperature. Journal of Experimental Botany 58(8): 1935-1945
- Nicholas, K. A., Matthews, M. A., Lobell, D. B., Willits, N. H. & Field, C. B. (2011). Effect of vineyard-scale climate variability on Pinot noir phenolic composition. Agricultural and Forest Meteorology 151(12): 1556-1567
- Harbertson, J. F., Picciotto, E. A. & Adams, D. O. (2003). Measurement of polymeric pigments in grape berry extracts and wines using a protein precipitation assay combined with bisulfite bleaching. American Journal of Enology and Viticulture 54(4): 301-306
- Schultz, H. R. (2000). Climate change and viticulture: a European perspective on climatology, carbon dioxide and UV-B effects. Australian Journal of Grape and Wine Research 6(1): 2-12
- Ramos, M. C., Jones, G. V. & Martinez-Casasnovas, J. A. (2008). Structure and trends in climate parameters affecting winegrape production in northeast Spain. Climate Research 38(1): 1-15
- Bindi, M., Fibbi, L., Gozzini, B., Orlandini, S. & Seghi, L. (1996).The effect of elevated CO2 concentration on grapevine growth under field conditions. In First Ishs Workshop on Strategies to Optimize Wine Grape Quality, 325-330 (Eds S. Poni, E. Peterlunger, F. Iacono and C. Intrieri)
- Moutinho-Pereira, J., Goncalves, B., Bacelar, E., Cunha, J. B., Coutinho, J. & Correia, C. M. (2009). Effects of elevated CO2 on grapevine (Vitis vinifera L.): Physiological and yield attributes. Vitis 48(4): 159-165
- Fraga, H., Garcia de C. A. I., Malheiro, A.C., Santos, J.A., 2016. Modelling climate change impacts on viticultural yield, phenology and stress conditions in Europe. Global Change Biology: doi:10.1111/gcb.13382.
- Kenny, G. H. & Harrison, P. A. (1993). The effects of climatic variability and change on grape suitability in Europe. Journal of Wine Research (4): 163–183
- Kovacs, E., Kopecsko, Zs., Puskas J. (2014). The Impact of Climate Change on Wine Regions of the Western Part of the Carpathian Basin. Proceedings of University of West Hungary Savaria Campus XX. Natural Sciences 15., Szombathely: 71-89.
- "Potato". CIP. Retrieved 7 November 2012.
- "Climate change and potatoes: The risks, impacts and opportunities for UK potato production" (PDF). Cranfield Water Science Institute. Archived from the original (PDF) on 10 September 2012. Retrieved 7 November 2012.
- "Crop Water Information: Potato". FAO Water Development and Management Unit. Retrieved 7 November 2012.
- Daccache, A.; C. Keay; R.J.A. Jones; E.K. Weatherhead; M.A. Stalham; J.W. Knox (2012). "Climate change and land suitability for potato production in England and Wales: impacts and adaptation". Journal of Agricultural Science. 150 (2): 161–177. doi:10.1017/s0021859611000839. hdl:1826/8188. S2CID 53488790.
- Pandey, S. K. "Potato Research Priorities in Asia and the Pacific Region". FAO. Retrieved 7 November 2012.
- Czajkowski, Robert. "Why is Dickeya spp. (syn. Erwinia chrysanthemi) taking over? The ecology of a blackleg pathogen" (PDF). Retrieved 7 November 2012.
- Forbes, G. A. "Implications for a warmer, wetter world on the late blight pathogen: How CIP efforts can reduce risk for low-input potato farmers" (PDF). CIP. Archived from the original (PDF) on 5 January 2011. Retrieved 7 November 2012.
- OECD/FAO (2016). OECD‑FAO Agricultural Outlook 2016‑2025 (PDF). OECD Publishing. pp. 59–61. ISBN 978-92-64-25323-0.
- Läderach, Peter; Martinez-Valle, Armando; Bourgoin, Clement; Parker, Louis (27 March 2019). "Vulnerability of the agricultural sector to climate change: The development of a pan-tropical Climate Risk Vulnerability Assessment to inform sub-national decision making". PLOS ONE. 14 (3): e0213641. Bibcode:2019PLoSO..1413641P. doi:10.1371/journal.pone.0213641. ISSN 1932-6203. PMC 6436735. PMID 30917146.
- Jellason, Nugun P.; Robinson, Elizabeth J. Z.; Ogbaga, Chukwuma C. (21 June 2021). "Agriculture 4.0: Is Sub-Saharan Africa Ready?". Applied Sciences. 11 (12): 5750. doi:10.3390/app11125750.
- IPCC (2007). "Summary for Policymakers: C. Current knowledge about future impacts". In Parry ML, et al. (eds.). Climate Change 2007: Impacts, Adaptation and Vulnerability. Contribution of Working Group II to the Fourth Assessment Report of the Intergovernmental Panel on Climate Change. Cambridge University Press.
- Dhanush D, Bett BK, Boone RB, Grace D, Kinyangi J, Lindahl JF, Mohan CV, Ramírez Villegas J, Robinson TP, Rosenstock TS, Smith J (2015). "Impact of climate change on African agriculture: focus on pests and diseases". CGIAR Research Program on Climate Change, Agriculture and Food Security (CCAFS).
- SOFI 2019 - The State of Food Security and Nutrition in the World. www.fao.org. Food and Agriculture Organization of the United Nations. 2021. doi:10.4060/CB4474EN. ISBN 978-92-5-134325-8. S2CID 241785130. Retrieved 8 August 2019.
- Dinku, Tufa. "Overcoming challenges in the availability and use of climate data in Africa". ICT Update CTA.
- "Supporting Sub-Saharan Africa's Farmers - Bayer - Crop Science". www.cropscience.bayer.com. Retrieved 15 August 2019.
- Thornton, Philip K; Ericksen, Polly J; Herrero, Mario; Challinor, Andrew J (November 2014). "Climate variability and vulnerability to climate change: a review". Global Change Biology. 20 (11): 3313–3328. Bibcode:2014GCBio..20.3313T. doi:10.1111/gcb.12581. ISSN 1354-1013. PMC 4258067. PMID 24668802.
- "Empirical Relationships between Banana Yields and Climate Variability over Uganda". ResearchGate. Retrieved 15 August 2019.
- "Adapting Agriculture to Climate Change: Suitability of Banana Crop Production to Future Climate Change Over Uganda". ResearchGate. Retrieved 15 August 2019.
- "A1 - 1 Sustainability, food security and climate change: three intertwined challenges | Climate-Smart Agriculture Sourcebook | Food and Agriculture Organization of the United Nations". www.fao.org. Retrieved 15 August 2019.
- Rosane, Olivia (27 January 2020). "Worst Locust Swarm to Hit East Africa in Decades Linked to Climate Crisis". Ecowatch. Retrieved 6 February 2020.
- Chowdhury QM (2016). "Impact of Climate Change on Livestock in Bangladesh: A Review of What We Know and What We Need to Know" (PDF). American Journal of Agricultural Science Engineering and Technology. 3 (2): 18–25 – via e-palli.
- Hennessy K, et al. (2007). "Chapter 11: Australia and New Zealand: Executive summary". In Parry ML, et al. (eds.). Climate Change 2007: Impacts, Adaptation and Vulnerability. Contribution of Working Group II to the Fourth Assessment Report of the Intergovernmental Panel on Climate Change. Cambridge University Press.
- "Climate change threatens future of farming in Europe — European Environment Agency". www.eea.europa.eu.
- Jones P, Thornton P (April 2003). "The potential impacts of climate change on maize production in Africa and Latin America in 2055". Global Environmental Change. 13 (1): 51–59. doi:10.1016/S0959-3780(02)00090-0.
- Baethgen WE (1997). "Vulnerability of the agricultural sector of Latin America to climate change" (PDF). Climate Research. 9: 1–7. Bibcode:1997ClRes...9....1B. doi:10.3354/cr009001.
- Mendelsohn R, Dinar A (1 August 1999). "Climate Change, Agriculture, and Developing Countries: Does Adaptation Matter?". The World Bank Research Observer. 14 (2): 277–293. doi:10.1093/wbro/14.2.277.
- "What's Really Driving Immigrants North from Central America". The State of Things (Podcast). 22 February 2019. Retrieved 1 June 2021.
- Green, Lisa; Schmook, Birgit; Radel, Claudia; Mardero, Sofia (March 2020). "Living Smallholder Vulnerability: The Everyday Experience of Climate Change in Calakmul, Mexico". Journal of Latin American Geography. University of Texas Press. 19 (2): 110–142. doi:10.1353/lag.2020.0028. S2CID 216383920.
- Smith A. "Billion-Dollar Weather and Climate Disasters: Table of Events - National Centers for Environmental Information (NCEI)".
- Perry LG, Andersen DC, Reynolds LV, Nelson SM, Shafroth PB (2012). "Vulnerability of riparian ecosystems to elevated CO2 and climate change in arid and semiarid western North America" (PDF). Global Change Biology. 18 (3): 821–842. Bibcode:2012GCBio..18..821P. doi:10.1111/j.1365-2486.2011.02588.x. S2CID 52267708. Archived from the original (PDF) on 26 May 2013.
- Section 4.2: Agriculture's current contribution to greenhouse gas emissions, in: HLPE 2012, pp. 67–69
- Sarkodie, Samuel A.; Ntiamoah, Evans B.; Li, Dongmei (2019). "Panel heterogeneous distribution analysis of trade and modernized agriculture on CO2 emissions: The role of renewable and fossil fuel energy consumption". Natural Resources Forum. 43 (3): 135–153. doi:10.1111/1477-8947.12183. ISSN 1477-8947.
- Agriculture, Forestry, and Other Land Uses Ch7 from "Climate Change 2022: Mitigation of Climate Change". www.ipcc.ch. Retrieved 6 April 2022.
- Friel, Sharon; Dangour, Alan D.; Garnett, Tara; et al. (2009). "Public health benefits of strategies to reduce greenhouse-gas emissions: food and agriculture". The Lancet. 374 (9706): 2016–2025. doi:10.1016/S0140-6736(09)61753-0. PMID 19942280. S2CID 6318195.
- "How livestock farming affects the environment". www.downtoearth.org.in. Retrieved 10 February 2022.
External links
- Climate change (Food and Agriculture Organization of the United Nations)
- Climate adaptation & mitigation (CGIAR)
- Climate-smart agriculture (Worldbank)


