7-Phloroeckol
7-Phloroeckol is a phlorotannin found in the edible brown algae arame (Ecklonia bicyclis) and turuarame (Ecklonia stolonifera).[1]
![]() | |
| Names | |
|---|---|
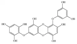
| Preferred IUPAC name
4-(3,5-Dihydroxyphenoxy)-8-(2,4,6-trihydroxyphenoxy)oxanthrene-1,3,6-triol | |
| Other names
7-Phloroethol | |
| Identifiers | |
| |
3D model (JSmol) |
|
| ChEBI | |
| ChEMBL | |
| ChemSpider | |
PubChem CID |
|
| UNII | |
| |
| |
| Properties | |
| C24H16O12 | |
| Molar mass | 496.37 g/mol |
Except where otherwise noted, data are given for materials in their standard state (at 25 °C [77 °F], 100 kPa).
Infobox references | |
References
- Gunathilaka, Thilina L.; Samarakoon, Kalpa; Ranasinghe, Pathmasiri; Peiris, L. Dinithi C. (25 April 2020). "Antidiabetic Potential of Marine Brown Algae—a Mini Review". Journal of Diabetes Research. doi:10.1155/2020/1230218.
This article is issued from Wikipedia. The text is licensed under Creative Commons - Attribution - Sharealike. Additional terms may apply for the media files.
