Yaequinolone J1
Yaequinolone J1 is an antibiotic made by Penicillium.[1]
![]() | |
| Names | |
|---|---|
| IUPAC name
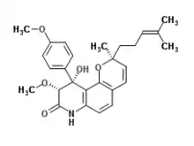
(2S,9R,10R)-10-Hydroxy-9-methoxy-10-(4-methoxyphenyl)-2-methyl-2-(4-methyl-3-penten-1-yl)-2,7,9,10-tetrahydro-8H-pyrano[2,3-f]quinolin-8-one | |
| Identifiers | |
3D model (JSmol) |
|
| ChemSpider | |
PubChem CID |
|
| |
| |
| Properties | |
| C27H31NO5 | |
| Molar mass | 449.547 g·mol−1 |
Except where otherwise noted, data are given for materials in their standard state (at 25 °C [77 °F], 100 kPa).
Infobox references | |
Total syntheses of yaequinolone J1
An asymmetric total synthesis of yaequinolone J1 has been published in 2018 by V. Vece, S. Jakkepally and S. Hanessian.[2] In 2020, a five-step synthesis of yaequinolone J1 was reported.[3]
References
- Uchida, R; Imasato, R; Shiomi, K; Tomoda, H; Omura, S (2005). "Yaequinolones J1 and J2, novel insecticidal antibiotics from Penicillium sp. FKI-2140". Org Lett. 7 (25): 5701–4. doi:10.1021/ol052458h. PMID 16321026.
- Vece, V; Jakkepally, S; Hanessian, S (2018). "Total Synthesis and Absolute Stereochemical Assignment of the Insecticidal Metabolites Yaequinolones J1 and J2". Org. Lett. 20 (14): 4277–4280. doi:10.1021/acs.orglett.8b01701. PMID 29975546.
- Schwan, J; Kleoff, M; Heretsch, P; Christmann, M (2020). "Five-Step Synthesis of Yaequinolones J1 and J2". Org. Lett. 22 (2): 475–479. doi:10.1021/acs.orglett.9b04455. PMID 31909626.
This article is issued from Wikipedia. The text is licensed under Creative Commons - Attribution - Sharealike. Additional terms may apply for the media files.
