Urech hydantoin synthesis
The Urech hydantoin synthesis is the chemical reaction of amino acids with potassium cyanate and hydrochloric acid to give hydantoins.[1][2]

The Urech hydantoin synthesis
| Urech hydantoin synthesis | |
|---|---|
| Named after | Friedrich Urech |
| Reaction type | Ring forming reaction |
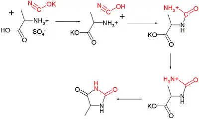
Reaction mechanism

Urech Hydantoin synthesis
See also
References
- Urech, Friedrich (1873). "XXI. Ueber Lacturaminsäure und Lactylharnstoff". Liebigs Ann. 165: 99. doi:10.1002/jlac.18731650110.
- Ware, Elinor (1950). "The Chemistry of the Hydantoins". Chem. Rev. 46 (3): 403–70. doi:10.1021/cr60145a001. PMID 24537833.
External links
This article is issued from Wikipedia. The text is licensed under Creative Commons - Attribution - Sharealike. Additional terms may apply for the media files.