TIM (psychedelics)
TIM, or thioisomescaline, is a series of lesser-known psychedelic drugs similar in structure to mescaline. They were first synthesized by Alexander Shulgin. In his book PiHKAL (Phenethylamines i Have Known And Loved), none of their durations are known. Very little is known about their dangers or toxicity.
| TIM | |
|---|---|
| Chemical name | Thioisomescaline or Dimethoxy-thioxy-1-aminoethane |
| Chemical formula | C11H17NO2S |
![]() | |
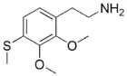
TIM compounds

2-TIM, or 2-thioxy-3,4-methoxy-phenethylamine

3-TIM, or 3-thioxy-2,4-methoxy-phenethylamine

4-TIM, or 4-thioxy-2,3-methoxy-phenethylamine
2-TIM
Dosage: 240 mg or greater
Duration: unknown
Effects: Few to none, possible boosting of alcohol
3-TIM
Dosage: 240 mg or greater
Duration: unknown
Effects: Few to none
4-TIM
Dosage: 160 mg or greater
Duration: unknown
Effects: Few to none
External links
This article is issued from Wikipedia. The text is licensed under Creative Commons - Attribution - Sharealike. Additional terms may apply for the media files.