Stromemycin
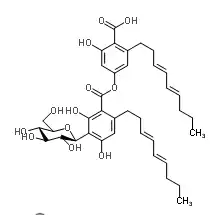
Stromemycin is a bio-active isolate of marine Emericella. Stromemycin is a C-glycosidic depside matrix metalloproteinase inhibitor.
![]() | |
| Names | |
|---|---|
| Preferred IUPAC name
4-({2,4-Dihydroxy-6-[(3E,5E)-nona-3,5-dien-1-yl]-3-[(2S,3R,4R,5S,6R)-3,4,5-trihydroxy-6-(hydroxymethyl)oxan-2-yl]benzoyl}oxy)-2-hydroxy-5-[(3E,5E)-nona-3,5-dien-1-yl]benzoic acid | |
| Identifiers | |
3D model (JSmol) |
|
| ChemSpider | |
PubChem CID |
|
| |
| |
| Properties | |
| C38H48O12 | |
| Molar mass | 696.790 g·mol−1 |
Except where otherwise noted, data are given for materials in their standard state (at 25 °C [77 °F], 100 kPa).
Infobox references | |
External links
This article is issued from Wikipedia. The text is licensed under Creative Commons - Attribution - Sharealike. Additional terms may apply for the media files.
