Stollé synthesis
The Stollé synthesis is a series of chemical reactions that produce oxindoles from anilines and α-haloacid chlorides (or oxalyl chloride).[1][2][3][4]

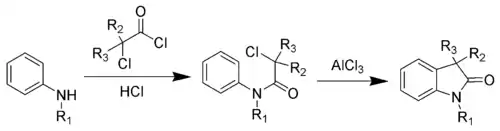
The Stollé synthesis
The first step is an amide coupling, while the second step is a Friedel–Crafts reaction.[5][6] An improved procedure has been developed.[7][8]
See also
References
- Stollé, R. (1913). "Über eine neue Methode zur Darstellung N-substituierter Isatine. (Vorläufige Mitteilung)". Ber. (in German). 46 (3): 3915–3916. doi:10.1002/cber.191304603186.
- Stollé, R. (1914). "Über Phenyl-oxindol". Ber. (in German). 47 (2): 2120–2122. doi:10.1002/cber.191404702112.
- Stollé, R.; Bergdoll, R.; Luther, M.; Auerhahn, A.; Wacker, W. (1922). "Über N-substituierte Oxindole und Isatine". J. Prakt. Chem. (in German). 105 (1): 137–148. doi:10.1002/prac.19221050111.
- Stollé, R.; Bergdoll, R.; Luther, M.; Auerhahn, A.; Wacker, W. (1930). "Über N-substituierte Oxindole und Isatine". J. Prakt. Chem. (in German). 128 (1): 1–43. doi:10.1002/prac.19301280101.
- Sumpter, Ward C. (1944). "The Chemistry of Isatin". Chem. Rev. 34 (3): 393–434. doi:10.1021/cr60109a003.
- Sumpter, Ward C. (1945). "The Chemistry of Oxindole". Chem. Rev. 37 (3): 443–479. doi:10.1021/cr60118a003. PMID 21013427.
- Julian, Percy L.; Pikl, Josef (1935). "Studies in the Indole Series. IV. The Synthesis of d,l-Eserethole". J. Am. Chem. Soc. 57 (3): 563–566. doi:10.1021/ja01306a053.
- Rutenberg, M. W.; Horning, E. C. (1950). "1-Methyl-3-ethyloxindole (Oxindole, 3-ethyl-1-methyl)". Organic Syntheses. 30: 62. doi:10.15227/orgsyn.030.0062.; Collective Volume, vol. 4, p. 620
This article is issued from Wikipedia. The text is licensed under Creative Commons - Attribution - Sharealike. Additional terms may apply for the media files.