Staudinger reaction
The Staudinger reaction is a chemical reaction of an azide with a phosphine or phosphite produces an iminophosphorane.[1][2] The reaction was discovered by and named after Hermann Staudinger.[3] The reaction follows this stoichiometry:
- R3P + R'N3 → R3P=NR' + N2
| Staudinger reaction | |
|---|---|
| Named after | Hermann Staudinger |
| Reaction type | Organic redox reaction |
| Identifiers | |
| Organic Chemistry Portal | staudinger-reaction |
| RSC ontology ID | RXNO:0000066 |
Staudinger reduction
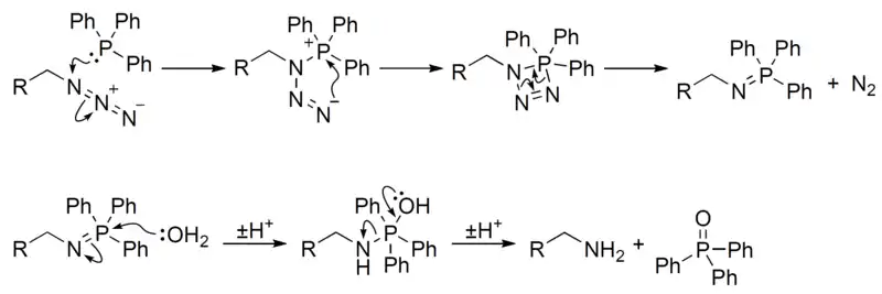
The Staudinger reduction is conducted in two steps. First phosphine imine-forming reaction is conducted involving treatment of the azide with the phosphine. The intermediate, e.g. triphenylphosphine phenylimide, is then subjected to hydrolysis to produce a phosphine oxide and an amine:
- R3P=NR' + H2O → R3P=O + R'NH2
The overall conversion is a mild method of reducing an azide to an amine. Triphenylphosphine or tributylphosphine are most commonly used, yielding tributylphosphine oxide or triphenylphosphine oxide as a side product in addition to the desired amine. An example of a Staudinger reduction is the organic synthesis of the pinwheel compound 1,3,5-tris(aminomethyl)-2,4,6-triethylbenzene.[4]
Reaction mechanism
The reaction mechanism centers around the formation of an iminophosphorane through nucleophilic addition of the aryl or alkyl phosphine at the terminal nitrogen atom of the organic azide and expulsion of diatomic nitrogen. The iminophosphorane is then hydrolyzed in the second step to the amine and a phosphine oxide byproduct.

Staudinger ligation
Of interest in chemical biology research, the Staudinger ligation is a modification of the classical Staudinger reaction in which an electrophilic trap (usually a methyl ester) is placed on the triaryl phosphine.[5] In aqueous media, the aza-ylide intermediate rearranges, to produce an amide linkage and the phosphine oxide, and is so named the Staudinger ligation because it ligates two molecules together, whereas in the classical Staudinger reaction, the two products are not covalently linked after hydrolysis. A traceless version of the reaction leaves behind no residual atoms and has been used to ligate peptides.[6]
In one application, this reaction is used to create a bond between a nucleoside and a fluorescent marker:[7][8]

- (mistake in the image: OBt structure is incorrect - missed oxygen atom)
The Staudinger ligation is used to site-specifically incorporate organic molecules (such as fluorescent dyes) into recombinant polypeptides containing unnatural azide-conjugated amino acids (incorporated, for instance, via suppression of the amber stop codon: https://pubs.acs.org/doi/pdf/10.1021/ja027007w)
References
- Gololobov, Y. G. (1981), "Sixty years of Staudinger Reaction", Tetrahedron, 37 (3): 437–472, doi:10.1016/S0040-4020(01)92417-2
- Gololobov, Y. G.; Kasukhin, L. F. (1992), "Recent advances in the Staudinger Reaction", Tetrahedron, 48 (8): 1353–1406, doi:10.1016/S0040-4020(01)92229-X
- Staudinger, H.; Meyer, J. (1919), "Über neue organische Phosphorverbindungen III. Phosphinmethylenderivate und Phosphinimine", Helv. Chim. Acta, 2 (1): 635, doi:10.1002/hlca.19190020164
- Karl J. Wallace; Robert Hanes; Eric Anslyn; Jeroni Morey; Kathleen V. Kilway; Jay Siegeld (2005), "Preparation of 1,3,5-Tris(aminomethyl)-2,4,6-triethylbenzene from Two Versatile 1,3,5-Tri(halosubstituted) 2,4,6-Triethylbenzene Derivatives", Synthesis, 2005 (12): 2080, doi:10.1055/s-2005-869963
- Saxon, E.; Bertozzi, C. R. (2000), "Cell Surface Engineering by a Modified Staudinger Reaction", Science, 287 (5460): 2007–10, Bibcode:2000Sci...287.2007S, doi:10.1126/science.287.5460.2007, PMID 10720325.
- Nilsson, B. L.; Kiessling, L. L.; Raines, R. T. (2000). "Staudinger ligation: A peptide from a thioester and azide". Org. Lett. 2 (13): 1939–1941. doi:10.1021/ol0060174. PMID 10891196.
- Kosiova I, Janicova A, Kois P (2006), "Synthesis of coumarin or ferrocene labeled nucleosides via Staudinger ligation", Beilstein Journal of Organic Chemistry, 2 (1): 23, doi:10.1186/1860-5397-2-23, PMC 1779791, PMID 17137496.
- the nucleoside is based on deoxyuridine, the marker is a coumarin with a carboxyl group activated by HOBT
External links
- Staudinger Reaction at organic-chemistry.org accessed 060906.
- Julia-Staudinger Reaction