Quantum gate teleportation
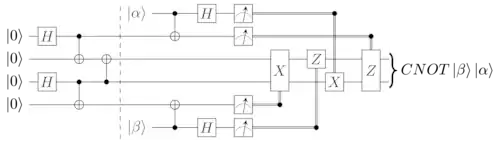
Quantum gate teleportation is a variant of the one-way quantum computer where quantum gates are applied to quantum states via quantum teleportation.[2][3] It proves that universal quantum computation can be performed using only single qubit gates, Bell measurements and GHZ states. This makes it convenient for implementations where gates can't be applied directly; like in Linear Optical Quantum Computing where two-qubit gates are difficult to implement. Since universal fault tolerant quantum computation can be implemented with this protocol, quantum gate teleportation can be used to circumvent the Eastin-Knill theorem.[1] Quantum gate teleportation has been experimentally demonstrated in Linear optical quantum computing,[4] Superconducting quantum computing,[5] and Ion trap quantum computing.[6]

References
- Gottesman, Daniel; Chuang, Isaac L. (1999). "Quantum Teleportation is a Universal Computational Primitive". Nature. 402: 390–393. arXiv:quant-ph/9908010. doi:10.1038/46503. S2CID 4411647.
- Jozsa, Richard (2005). "An introduction to measurement based quantum computation". arXiv:quant-ph/0508124. Bibcode:2005quant.ph..8124J.
{{cite journal}}: Cite journal requires|journal=(help) - Colin P. Williams (2010). Explorations in Quantum Computing. pp. 633–641. ISBN 978-1-4471-6801-0.
- Chou, K.S.; Blumoff, J.Z.; Wang, C.S.; Reinhold, P.C.; Axline, C.J.; Gao, Y.Y.; Frunzio, L.; Devoret, M.H.; Jiang, Liang; Schoelkopf, R.J. (2010). "Teleportation-based realization of an optical quantum two-qubit entangling gate". PNAS. 107 (49): 20869–20874. arXiv:1011.0772. Bibcode:2010PNAS..10720869G. doi:10.1073/pnas.1005720107. PMC 3000260. PMID 21098305.
- Gao, Wei-Bo; Poulin, David (2018). "Deterministic teleportation of a quantum gate between two logical qubits". Nature. 561 (7723): 368–373. arXiv:1801.05283. Bibcode:2018Natur.561..368C. doi:10.1038/s41586-018-0470-y. PMID 30185908. S2CID 3820071.
- Wan, Yong; Kienzler, Daniel; Erickson, Stephen D.; Mayer, Karl H.; Tan, Ting Rei; Wu, Jenny J.; Vasconcelos, Hilma M.; Glancy, Scott; Knill, Emanuel; Wineland, David J.; Wilson, Andrew C.; Leibfried, Dietrich (2019). "Quantum gate teleportation between separated qubits in a trapped-ion processor". Science. 364 (6443): 875–878. arXiv:1011.0772. Bibcode:2019Sci...364..875W. doi:10.1126/science.aaw9415. PMID 31147517. S2CID 119088844.