Persistent carbene

A persistent carbene (also known as stable carbene) is a type of carbene demonstrating particular stability. The best-known examples and by far largest subgroup are the N-heterocyclic carbenes (NHC)[1] (sometimes called Arduengo carbenes), for example diaminocarbenes with the general formula (R2N)2C:, where the four R moieties are typically alkyl and aryl groups. The groups can be linked to give heterocyclic carbenes, such as those derived from imidazole, imidazoline, thiazole or triazole.

1,3-Dimesityl-imidazol-4,5-dihydro-2-ylidene, a representative persistent carbene

Traditionally carbenes are viewed as so reactive that were only studied indirectly, such as by trapping reactions. This situation has changed dramatically with the emergence of persistent carbenes. Although they are fairly reactive substances, undergoing dimerization, many can be isolated as pure substances.

Persistent carbenes tend to exist in the singlet. Their stability is only partly due to steric hindrance by bulky groups. Some singlet carbenes are thermodynamically stable and can be isolated and indefinitely stored. Others dimerise slowly over days. Triplet state carbenes have half-lives measured in seconds, and therefore can be observed but not stored.

History

Early evidence

In 1957, Ronald Breslow proposed that a relatively stable nucleophilic carbene, a thiazol-2-ylidene derivative, was involved in the catalytic cycle of vitamin B1 (thiamine) that yields furoin from furfural.[2] [3] In this cycle, the vitamin's thiazolium ring exchanges a hydrogen atom (attached to carbon 2 of the ring) for a furfural residue. In deuterated water, the C2-proton was found to rapidly exchange for a deuteron in a statistical equilibrium.[4]

Deuterium exchange of the C2-proton of thiazolium salt.

This exchange was proposed to proceed via intermediacy of a thiazol-2-ylidene. In 2012 the isolation of the so-called Breslow intermediate was reported.[5][6]

In 1960, Hans-Werner Wanzlick and coworkers conjectured that carbenes derived from dihydroimidazol-2-ylidene were produced by vacuum pyrolysis of the corresponding 2-trichloromethyl dihydroimidazole compounds with the loss of chloroform.[7][8] [9] They conjectured that the carbene existed in equilibrium with its dimer, a tetraaminoethylene derivative, the so-called Wanzlick equilibrium. This conjecture was challenged by Lemal and coworkers in 1964, who presented evidence that the dimer did not dissociate;[10] and by Winberg in 1965.[11] However, subsequent experiments by Denk, Herrmann and others have confirmed this equilibrium, albeit in specific circumstances.[12][13]

Isolation of persistent carbenes

In 1970, Wanzlick's group generated imidazol-2-ylidene carbenes by the deprotonation of an imidazolium salt.[14] Wanzlick as well as Roald Hoffmann,[9][15] proposed that these imidazole-based carbenes should be more stable than their 4,5-dihydro analogues, due to Hückel-type aromaticity. Wanzlick did not however isolate imidazol-2-ylidenes, but instead their coordination compounds with mercury and isothiocyanate:

Preparation and trapping of an imidazol-2-ylidene.[14]

In 1988, Guy Bertrand and others isolated a phosphinocarbene. These species can be represented as either a λ3-phosphinocarbene or λ5-phosphaacetylene:[16][17]

Alkyne and carbene resonances structures of Bertrand's carbene

These compounds were called "push-pull carbenes" in reference to the contrasting electron affinities of the phosphorus and silicon atoms. They exhibit both carbenic and alkynic reactivity. An X-ray structure of this molecule has not been obtained and at the time of publication some doubt remained as to their exact carbenic nature.

In 1991, Arduengo and coworkers crystallized a diaminocarbene by deprotonation of an imidazolium cation:[18]

Preparation of N,N′-diadamantyl-imidazol-2-ylidene

This carbene, the forerunner of a large family of carbenes with the imidazol-2-ylidene core, is indefinitely stable at room temperature in the absence of oxygen and moisture. It melts at 240–241 °C without decomposition. The 13C NMR spectrum shows a signal at 211 ppm for the carbenic atom.[19] The X-ray structure revealed longer N–C bond lengths in the ring of the carbene than in the parent imidazolium compound, indicating that there was very little double bond character to these bonds.[20]

The first air-stable ylidic carbene, a chlorinated member of the imidazol-2-ylidene family, was obtained in 1997.[21]

In 2000, Bertrand obtained additional carbenes of the phosphanyl type, including (phosphanyl)(trifluoromethyl)carbene, stable in solution at -30 °C[22] and a moderately stable (amino)(aryl)carbene with only one heteroatom adjacent to the carbenic atom.[23][24]

Factors affecting stability of heteroatom-stabilized carbenes

1,3,4,5-tetramethylimidazol-2-ylidene, a carbene with little steric hindrance.
(View the 3D structure with external viewer)

Steric hindrance

The stability of Arduengo carbenes was initially attributed to the bulky N-adamantyl substituents, which prevents the carbene from dimerising due to steric hindrance. Replacement of the N-adamantyl groups with methyl groups also affords stable NHCs.[25] Thus, imidazole-2-ylidenes are thermodynamically stable.

Aromatic participation

It had been also conjectured that the double bond between carbons 4 and 5 of the imidazolium ring backbone, which gave aromatic character to that system, was important for the carbene's stability. This conjecture was disproved in 1995 by Arduengo's group, who obtained a derivative of dihydroimidazol-2-ylidene, lacking the double bond.[26] The thermodynamical stability in this compound, and the role of steric protection in preventing dimerization, has been a topic of some dispute.[27][28]

Ring participation

Bis(diisopropylamino) carbene, the first acyclic stable carbene.

The first acyclic persistent carbene was reported in 1996,[29] thus showing that a cyclic backbone was not necessary for their stability. Unlike the cyclic derivatives, the acyclic carbenes are flexible with respect to rotation of the bonds to the carbenic atom. By measuring the barrier to rotation of these bonds, the extent of their double bond character could be measured, and the ylidic nature of this carbene could be determined. Like the cyclic diaminocarbenes, unhindered variants tend to dimerize.[28][30][31]

Nitrogen participation

Most persistent carbenes are stabilized by two flanking nitrogen centers. The aminothiocarbene and an aminooxycarbene are outliers.[32][33] In these stable compounds, the carbenic atom lies between a nitrogen atom and either a sulfur or oxygen atom:

Stable carbenes with oxygen or sulfur atoms bound to the carbenic atom (External viewer)

Unlike NHCs, these carbenes are not thermodynamically stable but tend to dimerize.

In bis(diisopropylamino)cyclopropenylidene, which is stable at room temperature, the carbene atom is connected to two carbon atoms, in a three-member ring that retains the aromaticity and geometry of the cyclopropenylidene ring. This example demonstrated that the presence of heteroatoms next to the carbene is not necessary for stability, either.[34]

Molecular orbitals and persistent carbenes

The last example offers a glimpse of an answer to the question why these compounds are (meta)stable after all. It too, offers some sight at the limits of the use of Lewis structures in organic chemistry.

carbon participation

In this case the unoccupied p-orbital on the carbene carbon is not empty at all. It takes part in a molecular orbital occupied by two electrons. The electron density at the carbene centre in this orbital will have an estimated value of 1 (1/3). So the total count of electrons in the carbon valence orbitals will be: 4 in two σ-bonds to the other ring carbons, 2 in the lone pair and 1(1/3) in the aromatic molecular orbital, adding up to 7(1/3), only slightly less than the required 8. So stating the carbene carbon only carries six electrons at least is not accurate.

Imidazole based carbenes
Imidazole based persistent carbene

For the imidazole-derived carbenes the same is true. The "unoccupied" p-orbital on the carbene centre is part of an aromatic structure with 6 electrons, 2 from each participating nitrogen p-orbital and 1 from each carbon at the formal double bound, delocalized in a 5 membered ring. Here too, the electron density at the p-orbital of the carbene centre will be somewhat larger than 1. Again, only claiming 6 electrons on the carbene centre at least is not accurate.

Diamino carbenes
MO's of the allylic system.

A saturation on the carbons 4 and 5 of the imidazole ring, or the lack of a ring structure all together leaves the carbene centre with two adjacent nitrogen atoms. Drawing the molecule with Lewis structures, allowing only localized bonds indeed leaves the carbene centre with only six electrons. The molecular structure however, contains three atoms in a row, of which two, the nitrogens, possess a lone electron pair and the third one has an empty (!) p-orbital. This opens the road to an allyl like de-localisation of electrons. In the figure at the right, although borrowed from a true allylic molecule, the MO's of such a system are shown. Again it is clear the carbene centre carries electron density in this orbital and again claiming 6 electrons on the carbene centre at least is not accurate.

Conclusion

Now the arguments are set for the final question: why are these carbene like structures (meta)stable at least.

These compounds are called carbenes as their Lewis structures only show six electrons on the carbene centre. Reality is, the carbene like carbon atoms in these compounds have a larger electron density than simple Lewis structures predict. Combined with an electron donating environment able to at least partly fill the electron gap on the carbene centre enough energy is found to stabilize the compounds.

Classes of stable carbenes

The following are examples of the classes of stable carbenes isolated to date:

Imidazol-2-ylidenes

The first stable carbenes to be isolated were based on an imidazole ring, with the hydrogen in carbon 2 of the ring (between the two nitrogen atoms) removed, and other hydrogens replaced by various groups. These imidazol-2-ylidenes are still the most stable and the most well studied and understood family of persistent carbenes.

A considerable range of imidazol-2-ylidenes have been synthesised, including those in which the 1,3-positions have been functionalised with alkyl, aryl,[25] alkyloxy, alkylamino, alkylphosphino[35] and even chiral substituents:[35]

Stable imidazol-2-ylidenes
1,3-Dimesityl-4,5-dichloroimidazol-2-ylidene, the first air-stable carbene.
(View the 3D structure with external viewer.)

In particular, substitution of two chlorine atoms for the two hydrogens at ring positions 4 and 5 yielded the first air-stable carbene.[21] Its extra stability probably results from the electron-withdrawing effect of the chlorine substituents, which reduce the electron density on the carbon atom bearing the lone pair, via induction through the sigma-backbone.

Molecules containing two and even three imidazol-2-ylidene groups have also been synthesised.[36][37]

Imidazole-based carbenes are thermodynamically stable and generally have diagnostic 13C NMR chemical shift values between 210 and 230 ppm for the carbenic carbon. Typically, X-ray structures of these molecules show N–C–N bond angles of 101–102°.

Triazol-5-ylidenes

Depending on the arrangement of the three nitrogen atoms in triazol-5-ylidene, there are two possible isomers, namely 1,2,3-triazol-5-ylidenes and 1,2,4-triazol-5-ylidenes.

Triazol-5-ylidene isomers.

The triazol-5-ylidenes based on the 1,2,4-triazole ring are pictured below and were first prepared by Enders and coworkers[38] by vacuum pyrolysis through loss of methanol from 2-methoxytriazoles. Only a limited range of these molecules have been reported, with the triphenyl substituted molecule being commercially available.

Examples of 1,2,4-triazol-5-ylidenes.

Triazole-based carbenes are thermodynamically stable and have diagnostic 13C NMR chemical shift values between 210 and 220 ppm for the carbenic carbon. The X-ray structure of the triphenyl substituted carbene above shows an N–C–N bond angle of around 101°. The 5-methoxytriazole precursor to this carbene was made by the treatment of a triazolium salt with sodium methoxide, which attacks as a nucleophile.[38] This may indicate that these carbenes are less aromatic than imidazol-2-ylidenes, as the imidazolium precursors do not react with nucleophiles due to the resultant loss of aromaticity.

Other diaminocarbenes

The two families above can be seen as special cases of a broader class of compounds which have a carbenic atom bridging two nitrogen atoms. A range of such diaminocarbenes have been prepared principally by Roger Alder's research group. In some of these compounds, the N–C–N unit is a member of a five- or six-membered non-aromatic ring,[26][27][39] including a bicyclic example. In other examples, the adjacent nitrogens are connected only through the carbenic atom, and may or may not be part of separate rings.[29][30][31]

Synthesised cyclic and acyclic diaminocarbenes

Unlike the aromatic imidazol-2-ylidenes or triazol-5-ylidenes, these carbenes appear not to be thermodynamically stable, as shown by the dimerisation of some unhindered cyclic and acyclic examples.[27][30] Studies[28] suggest that these carbenes dimerise via acid catalysed dimerisation (as in the Wanzlick equilibrium).

Diaminocarbenes have diagnostic 13C NMR chemical shift values between 230 and 270 ppm for the carbenic atom. The X-ray structure of dihydroimidazole-2-ylidene shows a N–C–N bond angle of about 106°, whilst the angle of the acyclic carbene is 121°, both greater than those seen for imidazol-2-ylidenes.

Heteroamino carbenes

There exist several variants of the stable carbenes above where one of the nitrogen atoms adjacent to the carbene center (the α nitrogens) has been replaced by an alternative heteroatom, such as oxygen, sulfur, or phosphorus.[16][17][32][33]

Synthesised heteroamino carbenes (top and bottom right) and Bertrand's carbenes (bottom left)

In particular, the formal substitution of sulfur for one of the nitrogens in imidazole would yield the aromatic heterocyclic compound thiazole. A thiazole based carbene (analogous to the carbene postulated by Breslow)[40] has been prepared and characterised by X-ray crystallography.[32] Other non-aromatic aminocarbenes with O, S and P atoms adjacent (i.e. alpha) to the carbene centre have been prepared, for example, thio- and oxyiminium based carbenes have been characterised by X-ray crystallography.[33]

Since oxygen and sulfur are divalent, steric protection of the carbenic centre is limited especially when the N–C–X unit is part of a ring. These acyclic carbenes have diagnostic 13C NMR chemical shift values between 250 and 300 ppm for the carbenic carbon, further downfield than any other types of stable carbene. X-ray structures have shown N–C–X bond angles of around 104° and 109° respectively.

Carbenes that formally derive from imidazole-2-ylidenes by substitution of sulfur, oxygen, or other chalcogens for both α-nitrogens are expected to be unstable, as they have the potential to dissociate into an alkyne (R1C≡CR2) and a carbon dichalcogenide (X1=C=X2).[41][42]

Non-amino carbenes

The reaction of carbon disulfide (CS2) with electron deficient acetylene derivatives is proposed to give transient 1,3-dithiolium carbenes (i.e. where X1 = X2 = S), which then dimerise to give derivatives of tetrathiafulvene. Thus it is possible that the reverse of this process might be occurring in similar carbenes.[41][42]

Bertrand's carbenes

In Bertrand's persistent carbenes, the unsaturated carbon is bonded to a phosphorus and a silicon.[43] However, these compounds seem to exhibit some alkynic properties, and when published the exact carbenic nature of these red oils was in debate.[17]

Other nucleophilic carbenes

One stable N-heterocyclic carbene[44] has a structure analogous to borazine with one boron atom replaced by a methylene group. This results in a planar six-electron compound.

In the second step of this reaction sequence the proton is abstracted by LiTMP, while the two cyclohexyl groups shield the carbene.[44]

Cyclopropenylidenes

Another family of carbenes is based on a cyclopropenylidene core, a three-carbon ring with a double bond between the two atoms adjacent to the carbenic one. This family is exemplified by bis(diisopropylamino)cyclopropenylidene.[34]

Triplet state carbenes

In 2001, Hideo Tomioka and his associates were able to produce a comparatively stable triplet carbene (bis(9-anthryl)carbene, with a half-life of 19 minutes), by taking advantage of electron delocalization.[45][46]

Although the figure below shows the to parts of the molecule in one flat plane, molecular geometry puts the two aromatic parts in orthogonal positions with respect to each other.

Delocalization in a stable triplet carbene reported by Tomioka (2001)

In 2006 a triplet carbene was reported by the same group with a half-life of 40 minutes.[47] This carbene is prepared by a photochemical decomposition of a diazomethane precursor by 300 nm light in benzene with expulsion of nitrogen gas.

Again the figure below is not an adequate representation of the actual molecular structure: both phenyl rings are positioned orthogonal with respect to each other. The carbene carbon has an sp-hybridisation, the two remaining orthogonal p-orbitals each conjugating with one of the aromatic rings.

A persistent triplet carbene (right), synthesized by Itoh (2006)

Exposure to oxygen (a triplet diradical) converts this carbene to the corresponding benzophenone. The diphenylmethane compound is formed when it is trapped by cyclohexa-1,4-diene. As with the other carbenes, this species contains large bulky substituents, namely bromine and the trifluoromethyl groups on the phenyl rings, that shield the carbene and prevent or slow down the process of dimerization to a 1,1,2,2-tetra(phenyl)alkene. Based on computer simulations, the distance of the divalent carbon atom to its neighbors is claimed to be 138 picometers with a bond angle of 158.8°. The planes of the phenyl groups are almost at right angles to each other (the dihedral angle being 85.7°).

Mesoionic carbenes

Mesoionic carbenes (MICs) are similar to N-heterocyclic carbenes (NHCs) except that canonical resonance structures with the carbene depicted cannot be drawn without adding additional charges. Mesoionic carbenes are also referred to as abnormal N-heterocyclic carbenes (aNHC) or remote N-heterocyclic carbenes (rNHC). A variety of free carbenes can be isolated and are stable at room temperature. Other free carbenes are not stable and are susceptible to intermolecular decomposition pathways.

Chemical properties

Basicity and nucleophilicity

The imidazol-2-ylidenes are strong bases, having pKa  24 for the conjugate acid in dimethyl sulfoxide (DMSO):[48]

Measurement of the pKa value for the conjugate acid of an imidazol-2-ylidene

However, further work showed that diaminocarbenes will deprotonate the DMSO solvent, with the resulting anion reacting with the resulting amidinium salt.

Using D6-DMSO as an NMR solvent can have unexpected results.

Reaction of imidazol-2-ylidenes with 1-bromohexane gave 90% of the 2-substituted adduct, with only 10% of the corresponding alkene, indicating that these molecules are also reasonably nucleophilic.

pKa values for the conjugate acids of several NHC families have been examined in aqueous solution. pKa values of triazolium ions lie in the range 16.5–17.8,[49] around 3 pKa units more acidic than related imidazolium ions.[50]

Dimerisation

At one time, stable carbenes were thought to reversibly dimerise through the so-called Wanzlick equilibrium. However, imidazol-2-ylidenes and triazol-5-ylidenes are thermodynamically stable and do not dimerise, and have been stored in solution in the absence of water and air for years. This is presumably due to the aromatic nature of these carbenes, which is lost upon dimerisation. In fact imidazol-2-ylidenes are so thermodynamically stable that only in highly constrained conditions are these carbenes forced to dimerise.

Chen and Taton[51] made a doubly tethered diimidazol-2-ylidene by deprotonating the respective diimidazolium salt. Only the deprotonation of the doubly tethered diimidazolium salt with the shorter methylene bridge (–CH2–) resulted in the dicarbene dimer:

Dimerisation of tethered diimidazol-2-ylidenes

If this dimer existed as a dicarbene, the electron lone pairs on the carbenic carbon would be forced into close proximity. Presumably the resulting repulsive electrostatic interactions would have a significant destabilising effect. To avoid this electronic interaction, the carbene units dimerise.

On the other hand, heteroamino carbenes (such as R2N–C–OR or R2N–C–SR) and non-aromatic carbenes such as diaminocarbenes (such as R2N–C–NR2) have been shown to dimerise,[52] albeit quite slowly. This has been presumed to be due to the high barrier to singlet state dimerisation:

"Least motion" (path A – not allowed) and "non-least motion" (path B) routes of carbene dimerisation.

Diaminocarbenes do not truly dimerise, but rather form the dimer by reaction via formamidinium salts, a protonated precursor species.[28] Accordingly, this reaction can be acid catalysed. This reaction occurs because unlike imidazolium based carbenes, there is no loss of aromaticity in protonation of the carbene.

Unlike the dimerisation of triplet state carbenes, these singlet state carbenes do not approach head to head ("least motion"), but rather the carbene lone pair attacks the empty carbon p-orbital ("non-least motion"). Carbene dimerisation can be catalyzed by both acids and metals.

Reactivity

The chemistry of stable carbenes has not been fully explored. However, Enders et al.[38][53][54] have performed a range of organic reactions involving a triazol-5-ylidene. These reactions are outlined below and may be considered as a model for other carbenes.

Reactions of triazol-5-ylidene[54]
a 3,6-diphenyl-1,2,4,5-tetrazine, toluene 92% e 2 equiv., PhNCO, toluene, reflux 92%
b RXH, RT 95–97% f CS2, toluene, or PhNCS, THF, RT 71–90%
c O2, S8, or Se, toluene, reflux 54–68% g Maleimide, THF, RT 47–84%
d R1CH=CHR2, THF, RT 25–68% h Dimethylacetylene dicarboxylate, THF, reflux 21%

These carbenes tend to behave in a nucleophilic fashion (e and f), performing insertion reactions (b), addition reactions (c), [2+1] cycloadditions (d, g and h), [4+1] cycloadditions (a) as well as simple deprotonations. The insertion reactions (b) probably proceed via deprotonation, resulting in the generation of a nucleophile (XR) which can attack the generated salt giving the impression of a H–X insertion.

The reported stable isothiazole carbene (2b) derived from an isothiazolium perchlorate (1)[55] was questioned.[56] The researchers were only able to isolate 2-imino-2H-thiete (4). The intermediate 3 was proposed through a rearrangement reaction. The carbene 2b is no longer considered as stable.[57]

Isothiazole carbene (2b) was proved to be unstable.[56]

Carbene complexation

Imidazol-2-ylidenes, triazol-5-ylidenes (and less so, diaminocarbenes) have been shown to coordinate to a plethora of elements, from alkali metals, main group elements, transition metals and even lanthanides and actinides. A periodic table of elements gives some idea of the complexes which have been prepared, and in many cases these have been identified by single crystal X-ray crystallography.[39][58][59] Stable carbenes are believed to behave in a similar fashion to organophosphines in their coordination properties to metals. These ligands are said to be good σ-donors through the carbenic lone pair, but poor π-acceptors due to internal ligand back-donation from the nitrogen atoms adjacent to the carbene centre, and so are able to coordinate to even relatively electron deficient metals. Enders [60] and Hermann[61][62] have shown that these carbenes are suitable replacements for phosphine ligands in several catalytic cycles. Whilst they have found that these ligands do not activate the metal catalyst as much as phosphine ligands they often result in more robust catalysts. Several catalytic systems have been looked into by Hermann and Enders, using catalysts containing imidazole and triazole carbene ligands, with moderate success.[58][60][61][62] Grubbs [63] has reported replacing a phosphine ligand (PCy3) with an imidazol-2-ylidene in the olefin metathesis catalyst RuCl2(PCy3)2CHPh, and noted increased ring closing metathesis as well as exhibiting "a remarkable air and water stability". Molecules containing two and three carbene moieties have been prepared as potential bidentate and tridentate carbene ligands.[36][37]

Legend
  Carbene complex with element known
  No carbene complex with element known

Carbenes in organometallic chemistry & catalysis

Carbenes can be stabilised as organometallic species. These transition metal carbene complexes fall into two categories:

  • Fischer carbenes in which carbenes are tethered to a metal and an electron-withdrawing group (usually a carbonyl),
  • Schrock carbenes; in which carbenes are tethered to a metal and an electron-donating group. The reactions that such carbenes participate in are very different from those in which organic carbenes participate.

Triplet state carbene chemistry

Persistent triplet state carbenes are likely to have very similar reactivity as other non-persistent triplet state carbenes.

Physical properties

Carbene peak in 13C NMR

Those carbenes that have been isolated to date tend to be colorless solids with low melting points. These carbenes tend to sublime at low temperatures under high vacuum.

One of the more useful physical properties is the diagnostic chemical shift of the carbenic carbon atom in the 13C-NMR spectrum. Typically this peak is in the range between 200 and 300 ppm, where few other peaks appear in the 13C-NMR spectrum. An example is shown on the left for a cyclic diaminocarbene which has a carbenic peak at 238 ppm.

Upon coordination to metal centers, the 13C carbene resonance usually shifts highfield, depending on the Lewis acidity of the complex fragment. Based on this observation, Huynh et al. developed a new methodology to determine ligand donor strengths by 13C NMR analysis of trans-palladium(II)-carbene complexes. The use of a 13C-labeled N-heterocyclic carbene ligand also allows for the study of mixed carbene-phosphine complexes, which undergo trans-cis-isomerization due to the trans effect.[64]

Applications

A second generation Grubbs' catalyst.

NHCs are widely used as ancillary ligand in organometallic chemistry. One practical application is the ruthenium-based Grubbs' catalyst and NHC-Palladium Complexes for cross-coupling reactions.[65][66][67] NHC-metal complexes, specifically Ag(I)-NHC complexes have been widely tested for their biological applications.[68]

Preparation methods

NHCs are often strongly basic (the pKa value of the conjugate acid of an imidazol-2-ylidene was measured at ca. 24)[48] and react with oxygen. Clearly these reactions are performed using air-free techniques, avoiding compounds of even moderate acidity. Although imidazolium salts are stable to nucleophilic addition, other non-aromatic salts are not (i.e. formamidinium salts).[69]

In these cases, strong unhindered nucleophiles are avoided whether they are generated in situ or are present as an impurity in other reagents (such as LiOH in BuLi).

Several approaches have been developed in order to prepare stable carbenes, these are outlined below.

Deprotonation

Deprotonation of carbene precursor salts with strong bases has proved a reliable route to almost all stable carbenes:

Deprotonation of precursor salts to give stable carbenes.

Imidazol-2-ylidenes and dihydroimidazol-2-ylidenes, such IMes, have been prepared by the deprotonation of the respective imidazolium and dihydroimidazolium salts. The acyclic carbenes[29][30] and the tetrahydropyrimidinyl[39] based carbenes were prepared by deprotonation using strong homogeneous bases.

Several bases and reaction conditions have been employed with varying success. The degree of success has been principally dependent on the nature of the precursor being deprotonated. The major drawback with this method of preparation is the problem of isolation of the free carbene from the metals ions used in their preparation.

Metal hydride bases

One might believe that sodium or potassium hydride[26][32] would be the ideal base for deprotonating these precursor salts. The hydride should react irreversibly with the loss of hydrogen to give the desired carbene, with the inorganic by-products and excess hydride being removed by filtration. In practice this reaction is often too slow, requiring the addition of DMSO or t-BuOH.[18][25] These reagents generate soluble catalysts, which increase the rate of reaction of this heterogeneous system, via the generation of tert-butoxide or dimsyl anion. However, these catalysts have proved ineffective for the preparation of non-imidazolium adducts as they tend to act as nucleophiles towards the precursor salts and in so doing are destroyed. The presence of hydroxide ions as an impurity in the metal hydride could also destroy non-aromatic salts.

Deprotonation with sodium or potassium hydride in a mixture of liquid ammonia/THF at −40 °C has been reported[35] for imidazole-based carbenes. Arduengo and coworkers[32] managed to prepare a dihydroimidazol-2-ylidene using NaH. However, this method has not been applied to the preparation of diaminocarbenes. In some cases, potassium tert-butoxide can be employed without the addition of a metal hydride.[25]

Alkyllithiums

The use of alkyllithiums as strong bases[18] has not been extensively studied, and have been unreliable for deprotonation of precursor salts. With non-aromatic salts, n-BuLi and PhLi can act as nucleophiles whilst t-BuLi can on occasion act as a source of hydride, reducing the salt with the generation of isobutene:

Reduction of formamidinium salts with tert-butyllithium

Amides bases

Lithium amides like the diisopropylamide (LDA) and the (tetramethylpiperidide (LiTMP))[29][30] generally work well for the deprotonation of all types of salts, providing that not too much LiOH is present in the n-butyllithium used to make the lithium amide. Titration of lithium amide can be used to determine the amount of hydroxide in solution. The deprotonation of precursor salts with metal hexamethyldisilazides[39] works very cleanly for the deprotonation of all types of salts, except for unhindered formamidinium salts, where this base can act as a nucleophile to give a triaminomethane adduct.

Metal-free carbene preparation

Stable carbenes readily coordinate to metals; in this case a diaminocarbene coordinates to KHMDS to form a complex.

The preparation of stable carbenes free from metal cations has been keenly sought to allow further study of the carbene species in isolation from these metals. Separating a carbene from a carbene-metal complex can be problematic due to the stability of the complex. Accordingly, it is preferable to make the carbene free from these metals in the first place. Indeed, some metal ions, rather than stabilising the carbene, have been implicated in the catalytic dimerisation of unhindered examples.

Shown right is an X-ray structure showing a complex between a diaminocarbene and potassium HMDS. This complex was formed when excess KHMDS was used as a strong base to deprotonate the formamidinium salt. Removing lithium ions resulting from deprotonation with reagents such as lithium diisopropylamide (LDA) can be especially problematic. Potassium and sodium salt by-products tend to precipitate from solution and can be removed. Lithium ions may be chemically removed by binding to species such as cryptands or crown ethers.

Metal free carbenes have been prepared in several ways as outlined below:

Dechalcogenation

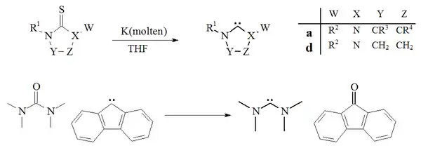
Another approach of preparing carbenes has relied on the desulfurisation of thioureas with potassium in THF.[27][70] A contributing factor to the success of this reaction is that the byproduct, potassium sulfide, is insoluble in the solvent. The elevated temperatures suggest that this method is not suitable for the preparation of unstable dimerising carbenes. A single example of the deoxygenation of a urea with a fluorene derived carbene to give the tetramethyldiaminocarbene and fluorenone has also been reported:[71]

Preparation of carbenes by dechalcogenation

The desulfurisation of thioureas with molten potassium to give imidazol-2-ylidenes or diaminocarbenes has not been widely used. The method was used to prepare dihydroimidazole carbenes.[27]

Vacuum pyrolysis

Vacuum pyrolysis, with the removal of neutral volatile byproducts i.e. methanol or chloroform, has been used to prepare dihydroimidazole and triazole based carbenes. Historically the removal of chloroform by vacuum pyrolysis of adducts A was used by Wanzlick[8] in his early attempts to prepare dihydroimidazol-2-ylidenes but this method is not widely used. The Enders laboratory[38] has used vacuum pyrolysis of adduct B to generate a triazol-5-ylidene.

Preparation of carbenes via vacuum pyrolysis.

Bis(trimethylsilyl)mercury

Bis(trimethylsilyl)mercury (CH3)3Si-Hg-Si(CH3)3 reacts with chloro-iminium and chloro-amidinium salts to give a metal-free carbene and elemental mercury.[72] For example:

(CH3)3Si−Hg−Si(CH3)3 + R2N=C(Cl)−NR+
2
Cl → R2N−C−NR2 + Hg(l) + 2(CH3)3SiCl

Photochemical decomposition

Persistent triplet state carbenes have been prepared by photochemical decomposition of a diazomethane product via the expulsion of nitrogen gas, at a wavelength of 300 nm in benzene.

Purification

Sublimation of a carbene.

Stable carbenes are very reactive, and so the minimum amount of handling is desirable using air-free techniques. However, provided rigorously dry, relatively non-acidic and air-free materials are used, stable carbenes are reasonably robust to handling per se. By way of example, a stable carbene prepared from potassium hydride can be filtered through a dry celite pad to remove excess KH (and resulting salts) from the reaction. On a relatively small scale, a suspension containing a stable carbene in solution can be allowed to settle and the supernatant solution pushed through a dried membrane syringe filter. Stable carbenes are readily soluble in non-polar solvents such as hexane, and so typically recrystallisation of stable carbenes can be difficult, due to the unavailability of suitable non-acidic polar solvents. Air-free sublimation as shown right can be an effective method of purification, although temperatures below 60 °C under high vacuum are preferable as these carbenes are relatively volatile and also could begin to decompose at these higher temperatures. Indeed, sublimation in some cases can give single crystals suitable for X-ray analysis. However, strong complexation to metal ions like lithium will in most cases prevent sublimation.

References

  1. Hopkinson, M. N.; Richter, C.; Schedler, M.; Glorius, F. (2014). "An Overview of N-Heterocyclic Carbenes". Nature. 510 (7506): 485–496. Bibcode:2014Natur.510..485H. doi:10.1038/nature13384. PMID 24965649. S2CID 672379.
  2. Ronald Breslow (1957). "Mechanism of Thiamine Action: Participation of a Thiazolium Zwitterion". Chem. Ind. 26: 893.
  3. Ronald Breslow (1958). "On the Mechanism of Thiamine Action. IV.1 Evidence from Studies on Model Systems". J. Am. Chem. Soc. 80 (14): 3719–3726. doi:10.1021/ja01547a064.
  4. R. Breslow (1957). "Rapid Deuterium Exchange in Thiazolium Salts". J. Am. Chem. Soc. 79 (7): 1762–1763. doi:10.1021/ja01564a064.
  5. Berkessel A.; Elfert S.; Yatham V. R.; Neudörfl J.-M.; Schlörer N. E.; Teles J. H. (2012). "Umpolung by N-Heterocyclic Carbenes: Generation and Reactivity of the Elusive 2,2-Diamino Enols (Breslow Intermediates)". Angew. Chem. Int. Ed. 51 (49): 12370–12374. doi:10.1002/anie.201205878. PMID 23081675.
  6. Chemists Approach Elusive Breslow Intermediate Carmen Drahl
  7. Hans-Werner Wanzlick; E. Schikora (1960). "Ein neuer Zugang zur Carben-Chemie" [A new way into carbene chemistry]. Angew. Chem. 72 (14): 494. Bibcode:1960AngCh..72..494W. doi:10.1002/ange.19600721409.
  8. H. W. Wanzlick; E. Schikora (1960). "Ein nucleophiles Carben" [A nucleophilic carbene]. Chem. Ber. 94 (9): 2389–2393. doi:10.1002/cber.19610940905.
  9. H. W. Wanzlick (1962). "Aspects of Nucleophilic Carbene Chemistry". Angew. Chem. Int. Ed. 1 (2): 75–80. doi:10.1002/anie.196200751.
  10. D. M. Lemal; R. A. Lovald; K. I. Kawano (1964). "Tetraaminoethylenes. The Question of Dissociation". J. Am. Chem. Soc. 86 (12): 2518–2519. doi:10.1021/ja01066a044.
  11. H. E. Winberg; J. E. Carnahan; D. D. Coffman; M. Brown (1965). "Tetraaminoethylenes". J. Am. Chem. Soc. 87 (9): 2055–2056. doi:10.1021/ja01087a040.
  12. Denk M. K.; Hatano K.; Ma M. (1999). "Nucleophilic Carbenes and the Wanzlick Equilibrium A Reinvestigation". Tetrahedron Lett. 40 (11): 2057–2060. doi:10.1016/S0040-4039(99)00164-1.
  13. Böhm Volker P. W.; Herrmann Wolfgang A. (2000). "The Wanzlick Equilibrium". Angew. Chem. Int. Ed. 39 (22): 4036–4038. doi:10.1002/1521-3773(20001117)39:22<4036::AID-ANIE4036>3.0.CO;2-L.
  14. H. W. Wanzlick; H. J. Schonherr (1970). "Chemie nucleophiler Carbene, XVIII, 1) 1.3.4.5-Tetraphenyl-imidazoliumperchlorat" [Cemistry of nucleophilic carbenes, XVIII. 1) 1,3,4,5-Tetraphenylimidazolium perchlorate]. Liebigs Ann. Chem. 731: 176–179. doi:10.1002/jlac.19707310121.
  15. R. Gleiter; R. Hoffmann (1968). "Stabilizing a singlet methylene". J. Am. Chem. Soc. 90 (20): 5457–5460. doi:10.1021/ja01022a023.
  16. A. Igau; H. Grutzmacher; A. Baceiredo; G. Bertrand (1988). "Analogous α,α′-bis-carbenoid, triply bonded species: synthesis of a stable λ3-phosphino carbene-λ3-phosphaacetylene". J. Am. Chem. Soc. 110 (19): 6463–6466. doi:10.1021/ja00227a028.
  17. G. Bertrand; R. Reed (1994). "λ3-Phosphinocarbenes λ5-phosphaacetylenes". Coord. Chem. Rev. 137: 323–355. doi:10.1016/0010-8545(94)03005-B.
  18. Arduengo, A.J.; Harlow, R.L.; Kline, M. (1991). "A stable crystalline carbene". J. Am. Chem. Soc. 113 (1): 361–363. doi:10.1021/ja00001a054.
  19. Tapu, Daniela; Dixon, David A.; Roe, Christopher (12 August 2009). "13C NMR Spectroscopy of "Arduengo-type" Carbenes and Their Derivatives". Chem. Rev. 109 (8): 3385–3407. doi:10.1021/cr800521g. PMID 19281270.
  20. Arduengo, Anthony J.; Harlow, Richard L.; Kline, Michael (January 1991). "A stable crystalline carbene". J. Am. Chem. Soc. 113 (1): 361–363. doi:10.1021/ja00001a054.
  21. A. J. Arduengo; F. Davidson; H. V. R. Dias; J. R. Goerlich; D. Khasnis; W. J. Marshall; T. K. Prakasha (1997). "An Air Stable Carbene and Mixed Carbene "Dimers"". J. Am. Chem. Soc. 119 (52): 12742–12749. doi:10.1021/ja973241o.
  22. Christophe Buron; Heinz Gornitzka; Vadim Romanenko; Guy Bertrand (2000). "Stable Versions of Transient Push-Pull Carbenes: Extending Lifetimes from Nanoseconds to Weeks". Science. 288 (5467): 834–836. Bibcode:2000Sci...288..834B. doi:10.1126/science.288.5467.834. PMID 10796999.
  23. Solé, Stéphane; Gornitzka, Heinz; Schoeller, Wolfgang W.; Bourissou, Didier; Bertrand, Guy (2001). "(Amino)(Aryl)Carbenes: Stable Singlet Carbenes Featuring a Spectator Substituent". Science. 292 (5523): 1901–1903. Bibcode:2001Sci...292.1901S. doi:10.1126/science.292.5523.1901. PMID 11397943.
  24. Lai Chun-Liang; Guo Wen-Hsin; Lee Ming-Tsung; Hu Ching-Han (2005). "Ligand properties of N-heterocyclic and Bertrand carbenes: A density functional study". J. Organomet. Chem. 690 (24–25): 5867–5875. doi:10.1016/j.jorganchem.2005.07.058.
  25. A. J. Arduengo; H. V. R. Dias; R. L. Harlow; M. Kline (1992). "Electronic stabilization of nucleophilic carbenes". J. Am. Chem. Soc. 114 (14): 5530–5534. doi:10.1021/ja00040a007.
  26. J. Arduengo; J. R. Goerlich; W. J. Marshall (1995). "A stable diaminocarbene". J. Am. Chem. Soc. 117 (44): 11027–11028. doi:10.1021/ja00149a034.
  27. M. K. Denk; A. Thadani; K. Hatano; A. J. Lough (1997). "Steric Stabilization of Nucleophilic Carbenes". Angew. Chem. Int. Ed. 36 (23): 2607–2609. doi:10.1002/anie.199726071.
  28. Alder, RW; Chaker, L; Paolini, FP (2004). "Bis(diethylamino)carbene and the mechanism of dimerisation for simple diaminocarbenes". Chemical Communications (Cambridge, England) (19): 2172–2173. doi:10.1039/b409112d. PMID 15467857.
  29. R. W. Alder; P. R. Allen; M. Murray; A. G. Orpen (1996). "Bis(diisopropylamino)carbene". Angew. Chem. Int. Ed. 35 (10): 1121–1123. doi:10.1002/anie.199611211.
  30. R. W. Alder; M. E. Blake (1997). "Bis(N-piperidyl)carbene and its slow dimerisation to tetrakis(N-piperidyl)ethene". Chem. Commun. (16): 1513–1514. doi:10.1039/a703610h.
  31. R. W. Alder; M. E. Blake; J. M. Oliva (1999). "Diaminocarbenes; Calculation of Barriers to Rotation about Ccarbene–N Bonds, Barriers to Dimerization, Proton Affinities, and 13C NMR Shifts". J. Phys. Chem. A. 103 (50): 11200–11211. Bibcode:1999JPCA..10311200A. doi:10.1021/jp9934228.
  32. A. J. Arduengo, J. R. Goerlich and W. J. Marshall (1997). "A Stable Thiazol-2-ylidene and Its Dimer". Liebigs Ann. Chem. 1997 (2): 365–374. doi:10.1002/jlac.199719970213.
  33. R. W. Alder; C. P. Butts; A. G. Orpen (1998). "Stable Aminooxy- and Aminothiocarbenes". J. Am. Chem. Soc. 120 (44): 11526–11527. doi:10.1021/ja9819312.
  34. Lavallo, Vincent; Canac, Yves; Donnadieu, Bruno; Schoeller, Wolfgang W.; Bertrand, Guy (2006). "Cyclopropenylidenes: From Interstellar Space to an Isolated Derivative in the Laboratory". Science. 312 (5774): 722–724. Bibcode:2006Sci...312..722L. doi:10.1126/science.1126675. PMC 2427275. PMID 16614171.
  35. W. A. Herrmann; C. Kocher; L. J. Goossen; G. R. J. Artus (1996). "Heterocyclic Carbenes: A High-Yielding Synthesis of Novel, Functionalized N-Heterocyclic Carbenes in Liquid Ammonia". Chem. Eur. J. 2 (12): 1627–1636. doi:10.1002/chem.19960021222.
  36. W. A. Herrmann; M. Elison; J. Fischer; C. Kocher; G. R. J. Artus (1996). "N-Heterocyclic Carbenes: Generation under Mild Conditions and Formation of Group 8–10 Transition Metal Complexes Relevant to Catalysis". Chem. Eur. J. 2 (7): 772–780. doi:10.1002/chem.19960020708.
  37. H. V. R. Dias; W. C. Jin (1994). "A stable tridentate carbene ligand". Tetrahedron Lett. 35 (9): 1365–1366. doi:10.1016/S0040-4039(00)76219-8.
  38. D. Enders; K. Breuer; G. Raabe; J. Runsink; J. H. Teles; J. P. Melder; K. Ebel; S. Brode (1995). "Preparation, Structure, and Reactivity of 1,3,4-Triphenyl-4,5-dihydro-1H-1,2,4-triazol-5-ylidene, a New Stable Carbene". Angew. Chem. Int. Ed. 34 (9): 1021–1023. doi:10.1002/anie.199510211.
  39. R. W. Alder; M. E. Blake; C. Bortolotti; S. Buffali; C. P. Butts; E. Lineham; J. M. Oliva; A. G. Orpen; M. J. Quayle (1999). "Complexation of stable carbenes with alkali metals". Chem. Commun. (3): 241–242. doi:10.1039/a808951e.
  40. R. Breslow (1957). "Rapid Deuterium Exchange in Thiazolium Salts". J. Am. Chem. Soc. 79 (7): 1762–1763. doi:10.1021/ja01564a064.
  41. H. D. Haztzler (1970). "Nucleophilic 1,3-dithiolium carbenes". J. Am. Chem. Soc. 92 (5): 1412–1413. doi:10.1021/ja00708a058.
  42. H. D. Hartzler (1972). "1,3-Dithiolium carbenes from acetylenes and carbon disulfide". J. Am. Chem. Soc. 95 (13): 4379–4387. doi:10.1021/ja00794a039.
  43. G. Bertrand; A. Igau; A. Baceiredo; G. Trinquier (1989). "[Bis(diisopropylamino)phosphino]trimethylsilylcarbene: A Stable Nucleophilic Carbene". Angew. Chem. Int. Ed. 28 (5): 621–622. doi:10.1002/anie.198906211.
  44. Präsang, C; Donnadieu, B; Bertrand, G (2005). "Stable Planar Six-π-Electron Six-Membered N-Heterocyclic Carbenes with Tunable Electronic Properties". J. Am. Chem. Soc. 127 (29): 10182–10183. doi:10.1021/ja052987g. PMC 2440681. PMID 16028925.
  45. Tomioka, H; Iwamoto, E; Itakura, H; Hirai, K (2001). "Generation and characterization of a fairly stable triplet carbene". Nature. 412 (6847): 626–628. Bibcode:2001Natur.412..626T. doi:10.1038/35088038. PMID 11493917. S2CID 4373216.
  46. Michael Freemantle (2001-08-13). "Triplet Carbene has Long Life". Chemical & Engineering News. 79 (33): 11. doi:10.1021/cen-v079n033.p011a.
  47. Itoh, T; Nakata, Y; Hirai, K; Tomioka, H (2006). "Triplet Diphenylcarbenes Protected by Trifluoromethyl and Bromine Groups. A Triplet Carbene Surviving a Day in Solution at Room Temperature". J. Am. Chem. Soc. 128 (3): 957–967. doi:10.1021/ja056575j. PMID 16417387.
  48. R. W. Alder; P. R. Allen; S. J. Williams (1995). "Stable carbenes as strong bases". Chem. Commun. (12): 1267. doi:10.1039/c39950001267.
  49. Massey Richard S (2012). "Proton Transfer Reactions of Triazol-3-ylidenes: Kinetic Acidities and Carbon Acid pKaValues for Twenty Triazolium Salts in Aqueous Solution" (PDF). J. Am. Chem. Soc. 134 (50): 20421–20432. doi:10.1021/ja308420c. PMID 23173841.
  50. Higgins, Eleanor M.; Sherwood, Jennifer A.; Lindsay, Anita G.; Armstrong, James; Massey, Richard S.; Alder, Roger W.; O'Donoghue, Annmarie C. (2011). "pKas of the conjugate acids of N-heterocyclic carbenes in water". Chem. Commun. 47 (5): 1559–1561. doi:10.1039/C0CC03367G. PMID 21116519. S2CID 205757477.
  51. T. A. Taton; P. Chen (1996). "A Stable Tetraazafulvalene". Angew. Chem. Int. Ed. 35 (9): 1011–1013. doi:10.1002/anie.199610111.
  52. Alder, Roger W.; Blake, Michael E.; Chaker, Leila; Harvey, Jeremy N.; Paolini, François; Schütz, Jan (2004). "When and How Do Diaminocarbenes Dimerize?". Angew. Chem. Int. Ed. 43 (44): 5896–5911. doi:10.1002/anie.200400654. PMID 15457494.
  53. Enders, D.; Breuer, K.; Runsink, J.; Teles, J.H. (1996). "Chemical Reactions of the Stable Carbene 1,3,4-Triphenyl-4,5-dihydro-1H-1,2,4-triazol-5-ylidene". Liebigs Ann. Chem. 1996 (12): 2019–2028. doi:10.1002/jlac.199619961212.
  54. Enders, D.; Breuer, K.; Teles, J.H.; Ebel, K. (1997). "1,3,4-Triphenyl-4,5-dihydro-1H-1,2,4-triazol-5-ylidene – applications of a stable carbene in synthesis and catalysis". J. Prakt. Chem. 339: 397–399. doi:10.1002/prac.19973390170.
  55. Wolf, J; Böhlmann, W; Findeisen, M; Gelbrich, T; Hofmann, HJ; Schulze, B (2007). "Synthesis of stable isothiazole carbenes". Angew. Chem. Int. Ed. 46 (17): 3118–3121. doi:10.1002/anie.200604305. PMID 17372997.
  56. DeHope, A; Lavallo, V; Donnadieu, B; Schoeller, WW; Bertrand, G (2007). "Recently reported crystalline isothiazole carbenes: Myth or reality". Angew. Chem. Int. Ed. 46 (36): 6922–6925. doi:10.1002/anie.200702272. PMID 17661300.
  57. Wolf Janine; Böhlmann Winfried; Findeisen Matthias; Gelbrich Thomas; Hofmann Hans-Jorg; Schulze Borbel (2007). "Reply to "Recently Reported Crystalline Isothiazole Carbenes: Myth or Reality"". Angew. Chem. Int. Ed. 46 (36): 6926. doi:10.1002/anie.200702746.
  58. Wolfgang A. Herrmann; Christian Köcher (1997). "N-Heterocyclic Carbenes". Angew. Chem. Int. Ed. 36 (20): 2162–2187. doi:10.1002/anie.199721621.
  59. Gernot Boche; Christof Hilf; Klaus Harms; Michael Marsch; John C. W. Lohrenz (1995). "Crystal Structure of the Dimeric (4-tert-Butylthiazolato)(glyme)lithium: Carbene Character of a Formyl Anion Equivalent". Angew. Chem. Int. Ed. 34 (4): 487–489. doi:10.1002/anie.199504871.
  60. D. Enders; H. Gielen; G. Raabe; J. Runsink; J. H. Teles (1996). "Synthesis and Stereochemistry of the First Chiral (Imidazolinylidene)- and (Triazolinylidene)palladium(II) Complexes". Chem. Ber. 129 (12): 1483–1488. doi:10.1002/cber.19961291213.
  61. Wolfgang A. Herrmann; Martina Elison; Jakob Fischer; Christian Köcher; Georg R. J. Artus (1995). "Metal Complexes of N-Heterocyclic Carbenes – A New Structural Principle for Catalysts in Homogeneous Catalysis". Angew. Chem. Int. Ed. 34 (21): 2371–2374. doi:10.1002/anie.199523711.
  62. Wolfgang A. Herrmann; Lukas J. Goossen; Christian Köcher; Georg R. J. Artus (1996). "Chiral Heterocylic Carbenes in Asymmetric Homogeneous Catalysis". Angew. Chem. Int. Ed. 35 (23–24): 2805–2807. doi:10.1002/anie.199628051.
  63. M. Scholl; T. M. Trnka; J. P. Morgan; R. H. Grubbs (1999). "Increased ring closing metathesis activity of ruthenium-based olefin metathesis catalysts coordinated with imidazolin-2-ylidene ligands". Tetrahedron Lett. 40 (12): 2247–2250. doi:10.1016/S0040-4039(99)00217-8.
  64. Han Vinh Huynh; et al. (2009). "13C NMR Spectroscopic Determination of Ligand Donor Strengths Using N-Heterocyclic Carbene Complexes of Palladium(II)". Organometallics. 28 (18): 5395–5404. doi:10.1021/om900667d.
  65. S. P. Nolan [editor] (2006). N-Heterocyclic carbenes in synthesis, Wiley-VCH ISBN 3-527-31400-8
  66. F. Glorius [editor] (2007) N-Heterocyclic carbenes in transition metal catalysis, Springer ISBN 3-540-36929-5
  67. Díez-González, Silvia; Marion, Nicolas; Nolan, Steven P. (2009-08-12). "N-Heterocyclic Carbenes in Late Transition Metal Catalysis". Chem. Rev. 109 (8): 3612–3676. doi:10.1021/cr900074m. ISSN 0009-2665. PMID 19588961. S2CID 206902952.
  68. Garrison Jered C.; Youngs Wiley J. (2005). "Ag(I) N-Heterocyclic Carbene Complexes: Synthesis, Structure, and Application". Chem. Rev. 105 (11): 3978–4008. doi:10.1021/cr050004s. PMID 16277368. S2CID 43090499.
  69. Roger W. Alder; Michael E. Blake; Simone Bufali; Craig P. Butts; A. Guy Orpen; Jan Schütz; Stuart J. Williams (2001). "Preparation of tetraalkylformamidinium salts and related species as precursors to stable carbenes". J. Chem. Soc., Perkin Trans. 1 (14): 1586–1593. doi:10.1039/b104110j.
  70. N. Kuhn; T. Kratz (1993). "Synthesis of Imidazol-2-ylidenes by Reduction of Imidazole-2(3H)-thiones". Synthesis. 1993 (6): 561–562. doi:10.1055/s-1993-25902.
  71. D. Kovacs; M. S. Lee; D. Olson; J. E. Jackson (1996). "Carbene-to-Carbene Oxygen Atom Transfer". J. Am. Chem. Soc. 118 (34): 8144–8145. doi:10.1021/ja961324j.
  72. Michael Otto; Salvador Conejero; Yves Canac; Vadim D. Romanenko; Valentyn Rudzevitch; Guy Bertrand (2004). "Mono- and Diaminocarbenes from Chloroiminium and -amidinium Salts: Synthesis of Metal-Free Bis(dimethylamino)carbene". J. Am. Chem. Soc. 126 (4): 1016–1017. doi:10.1021/ja0393325. PMID 14746458.

Further reading

Reviews on persistent carbenes:

For a review on the physico-chemical properties (electronics, sterics, ...) of N-heterocyclic carbenes:

This article is issued from Wikipedia. The text is licensed under Creative Commons - Attribution - Sharealike. Additional terms may apply for the media files.