Initial topology
In general topology and related areas of mathematics, the initial topology (or induced topology[1][2] or weak topology or limit topology or projective topology) on a set , with respect to a family of functions on , is the coarsest topology on X that makes those functions continuous.
The subspace topology and product topology constructions are both special cases of initial topologies. Indeed, the initial topology construction can be viewed as a generalization of these.
The dual notion is the final topology, which for a given family of functions mapping to a set is the finest topology on that makes those functions continuous.
Definition
Given a set X and an indexed family (Yi)i∈I of topological spaces with functions
the initial topology on is the coarsest topology on X such that each
is continuous.
Explicitly, the initial topology is the collection of open sets generated by all sets of the form , where is an open set in for some i ∈ I, under finite intersections and arbitrary unions. The sets are often called cylinder sets. If I contains exactly one element, all the open sets of are cylinder sets.
Examples
Several topological constructions can be regarded as special cases of the initial topology.
- The subspace topology is the initial topology on the subspace with respect to the inclusion map.
- The product topology is the initial topology with respect to the family of projection maps.
- The inverse limit of any inverse system of spaces and continuous maps is the set-theoretic inverse limit together with the initial topology determined by the canonical morphisms.
- The weak topology on a locally convex space is the initial topology with respect to the continuous linear forms of its dual space.
- Given a family of topologies {τi} on a fixed set X the initial topology on X with respect to the functions idi : X → (X, τi) is the supremum (or join) of the topologies {τi} in the lattice of topologies on X. That is, the initial topology τ is the topology generated by the union of the topologies {τi}.
- A topological space is completely regular if and only if it has the initial topology with respect to its family of (bounded) real-valued continuous functions.
- Every topological space X has the initial topology with respect to the family of continuous functions from X to the Sierpiński space.
Properties
Characteristic property
The initial topology on X can be characterized by the following characteristic property:
A function from some space to is continuous if and only if is continuous for each i ∈ I.

Note that, despite looking quite similar, this is not a universal property. A categorical description is given below.
Evaluation
By the universal property of the product topology, we know that any family of continuous maps determines a unique continuous map
This map is known as the evaluation map.
A family of maps is said to separate points in X if for all in X there exists some i such that . Clearly, the family separates points if and only if the associated evaluation map f is injective.
The evaluation map f will be a topological embedding if and only if X has the initial topology determined by the maps and this family of maps separates points in X.
Separating points from closed sets
If a space X comes equipped with a topology, it is often useful to know whether or not the topology on X is the initial topology induced by some family of maps on X. This section gives a sufficient (but not necessary) condition.
A family of maps {fi: X → Yi} separates points from closed sets in X if for all closed sets A in X and all x not in A, there exists some i such that
where cl denotes the closure operator.
- Theorem. A family of continuous maps {fi: X → Yi} separates points from closed sets if and only if the cylinder sets , for U open in Yi, form a base for the topology on X.
It follows that whenever {fi} separates points from closed sets, the space X has the initial topology induced by the maps {fi}. The converse fails, since generally the cylinder sets will only form a subbase (and not a base) for the initial topology.
If the space X is a T0 space, then any collection of maps {fi} that separates points from closed sets in X must also separate points. In this case, the evaluation map will be an embedding.
Categorical description
In the language of category theory, the initial topology construction can be described as follows. Let be the functor from a discrete category to the category of topological spaces which maps . Let be the usual forgetful functor from to . The maps can then be thought of as a cone from to . That is, is an object of —the category of cones to . More precisely, this cone defines a -structured cosink in .
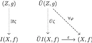
The forgetful functor induces a functor . The characteristic property of the initial topology is equivalent to the statement that there exists a universal morphism from to , i.e.: a terminal object in the category .
Explicitly, this consists of an object in together with a morphism such that for any object in and morphism there exists a unique morphism such that the following diagram commutes:

The assignment placing the initial topology on extends to a functor which is right adjoint to the forgetful functor . In fact, is a right-inverse to ; since is the identity functor on .
See also
References
- Rudin, Walter (1991). Functional Analysis. International Series in Pure and Applied Mathematics. Vol. 8 (Second ed.). New York, NY: McGraw-Hill Science/Engineering/Math. ISBN 978-0-07-054236-5. OCLC 21163277.
- Adamson, Iain T. (1996). "Induced and Coinduced Topologies". A General Topology Workbook. Birkhäuser, Boston, MA: 23–30. doi:10.1007/978-0-8176-8126-5_3. ISBN 978-0-8176-3844-3. Retrieved July 21, 2020.
... the topology induced on E by the family of mappings ...
Sources
- Willard, Stephen (1970). General Topology. Reading, Massachusetts: Addison-Wesley. ISBN 0-486-43479-6.
- "Initial topology". PlanetMath.
- "Product topology and subspace topology". PlanetMath.