1,3-dipole

In organic chemistry, a 1,3-dipolar compound or 1,3-dipole is a dipolar compound with delocalized electrons and a separation of charge over three atoms. They are reactants in 1,3-dipolar cycloadditions.[1][2]





From top to bottom,
azides, nitrones, and
nitro compounds are
examples of 1,3-dipoles.

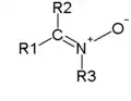
The dipole has at least one resonance structure with positive and negative charges having a 1,3 relationship which can generally be denoted as where a may be a carbon, oxygen or nitrogen, b may be nitrogen or oxygen and c may be a carbon, oxygen or nitrogen.[3]

A demonstration that how some well known 1,3-dipoles like ozone, nitro compounds and azides can be shown to have a resonance structure having 1,3 relationship between positive and negative formal charges

Known 1,3-dipoles are:

Carbonyl oxide

References

  1. Francis A. Carey, Richard J. Sundberg (2007). "Part A: Structure and mechanisms". Advanced Organic Chemistry (5, illustrated ed.). Springer. p. 874. ISBN 978-0-387-44897-8.
  2. IUPAC Gold Book dipolar compounds
  3. Jagadamba, Singh (2009). Photochemistry and Pericyclic Reactions. New Academic Science. p. 100. ISBN 1906574162.
  4. https://www.organic-chemistry.org/namedreactions/ozonolysis-criegee-mechanism.shtm Ozonolysis mechanism on Organic Chemistry Portal site
  5. Li, Jie Jack: Criegee mechanism of ozonolysis Book: Name Reactions. 2006, 173-174, doi:10.1007/3-540-30031-7_77
This article is issued from Wikipedia. The text is licensed under Creative Commons - Attribution - Sharealike. Additional terms may apply for the media files.